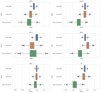
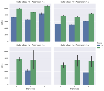
In the survey we consider the case studies on sales time series forecasting, the deep learning approach for forecasting non-stationary time series using time trend correction, dynamic price and supply optimization using Q-learning, Bitcoin price modeling, COVID-19 spread impact on stock market, using social networks signals in analytics. The use of machine learning and Bayesian inference in predictive analytics has been analyzed.


翻译:在调查中,我们考虑了关于销售时间序列预测的案例研究,即利用时间趋势校正、动态价格和供应优化,利用Q-学习、比特币价格模型、COVID-19对股票市场的影响,利用社交网络分析信号预测非静止时间序列的深层学习方法,分析了在预测分析中使用机器学习和巴耶斯语推论。

0
下载
关闭预览

相关内容

【脑机接口教程】Machine Learning for BCI,NeurotechEDU
专知会员服务
36+阅读 · 2022年2月14日
Keras François Chollet 《Deep Learning with Python 》, 386页pdf
专知会员服务
163+阅读 · 2019年10月12日
【SIGGRAPH2019】TensorFlow 2.0深度学习计算机图形学应用
专知会员服务
41+阅读 · 2019年10月9日
IEEE ICKG 2022: Call for Papers
机器学习与推荐算法
3+阅读 · 2022年3月30日
ACM MM 2022 Call for Papers
CCF多媒体专委会
5+阅读 · 2022年3月29日
ACM TOMM Call for Papers
CCF多媒体专委会
2+阅读 · 2022年3月23日
会议交流 | IJCKG: International Joint Conference on Knowledge Graphs
A Technical Overview of AI & ML in 2018 & Trends for 2019
待字闺中
18+阅读 · 2018年12月24日
国家自然科学基金
0+阅读 · 2015年12月31日
国家自然科学基金
3+阅读 · 2015年12月31日
国家自然科学基金
0+阅读 · 2013年12月31日
国家自然科学基金
1+阅读 · 2013年12月31日
Arxiv
0+阅读 · 2022年7月18日
Arxiv
66+阅读 · 2021年6月18日
VIP会员
相关VIP内容
【脑机接口教程】Machine Learning for BCI,NeurotechEDU
专知会员服务
36+阅读 · 2022年2月14日
Keras François Chollet 《Deep Learning with Python 》, 386页pdf
专知会员服务
163+阅读 · 2019年10月12日
【SIGGRAPH2019】TensorFlow 2.0深度学习计算机图形学应用
专知会员服务
41+阅读 · 2019年10月9日
相关资讯
IEEE ICKG 2022: Call for Papers
机器学习与推荐算法
3+阅读 · 2022年3月30日
ACM MM 2022 Call for Papers
CCF多媒体专委会
5+阅读 · 2022年3月29日
ACM TOMM Call for Papers
CCF多媒体专委会
2+阅读 · 2022年3月23日
会议交流 | IJCKG: International Joint Conference on Knowledge Graphs
A Technical Overview of AI & ML in 2018 & Trends for 2019
待字闺中
18+阅读 · 2018年12月24日
相关基金
国家自然科学基金
0+阅读 · 2015年12月31日
国家自然科学基金
3+阅读 · 2015年12月31日
国家自然科学基金
0+阅读 · 2013年12月31日
国家自然科学基金
1+阅读 · 2013年12月31日
Top
微信扫码咨询专知VIP会员