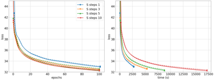
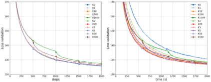
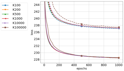
Helmholtz Machines (HMs) are a class of generative models composed of two Sigmoid Belief Networks (SBNs), acting as an encoder and a decoder. These models are commonly trained using a two-step optimization algorithm called Wake-Sleep (WS) and more recently by improved versions, such as Reweighted Wake-Sleep (RWS) and Bidirectional Helmholtz Machines (BiHM). The locality of the connections in an SBN induces sparsity in the Fisher information matrix associated to the model, in the form of a finely-grained block-diagonal structure. In this paper we exploit this property to efficiently train SBNs and HMs using the natural gradient. We present a novel algorithm called Natural Reweighted Wake-Sleep (NRWS), which corresponds to a geometric adaptation of the Reweighted Wake-Sleep, where, differently from most of the previous work, the natural gradient is computed without the need of introducing any approximation of the structure of the Fisher information matrix. The experiments performed on standard datasets from the literature show a consistent improvement of NRWS not only with respect to its non-geometric baseline but also with respect to state-of-the-art training algorithms for HMs. The improvement is quantified both in terms of speed of convergence as well as value of the log-likelihood reached after training.


翻译:Helmholtz Machines(HMS)是一组基因模型,由两个Sigmosublic Liision Lisis 网络(SBNs)组成,作为编码器和解码器。这些模型通常使用称为Wake-Sleep(WS)的两步优化算法来训练,最近则采用改良版本来训练,如Rews-Sleep(RWS)和Bidirectionalal Helmholtz Machines(BiHM)等。SBN的连接位置使与该模型相关的渔业信息矩阵的趋同性松散,其形式是精细的区块对面结构结构结构。在本文中,我们利用这一属性来利用自然梯度来有效训练SBNMs和HMs(HMs) 。我们介绍称为自然再加权休醒(RWS) (NWS) (RIS) (RIS) (RIS) (RIS) 的新算算法,这与大多数工作不同,在计算自然梯度的计算中,无需采用任何对渔业信息矩阵信息矩阵结构的近近近近度,但在矩阵结构结构结构。在标准上进行的实验,但从不光值改进也以其基准的逻辑上,在标准上进行不只标定的改进。

0
下载
关闭预览

相关内容

专知会员服务
51+阅读 · 2020年12月14日
Linux导论,Introduction to Linux,96页ppt
专知会员服务
82+阅读 · 2020年7月26日
强化学习最新教程,17页pdf
专知会员服务
182+阅读 · 2019年10月11日
【新书】Python编程基础,669页pdf
专知会员服务
197+阅读 · 2019年10月10日
ACM MM 2022 Call for Papers
CCF多媒体专委会
5+阅读 · 2022年3月29日
AIART 2022 Call for Papers
CCF多媒体专委会
1+阅读 · 2022年2月13日
【ICIG2021】Latest News & Announcements of the Industry Talk1
中国图象图形学学会CSIG
0+阅读 · 2021年7月28日
强化学习三篇论文 避免遗忘等
CreateAMind
20+阅读 · 2019年5月24日
Hierarchically Structured Meta-learning
CreateAMind
27+阅读 · 2019年5月22日
Unsupervised Learning via Meta-Learning
CreateAMind
43+阅读 · 2019年1月3日
A Technical Overview of AI & ML in 2018 & Trends for 2019
待字闺中
18+阅读 · 2018年12月24日
Capsule Networks解析
机器学习研究会
11+阅读 · 2017年11月12日
强化学习族谱
CreateAMind
26+阅读 · 2017年8月2日
国家自然科学基金
3+阅读 · 2014年12月31日
国家自然科学基金
0+阅读 · 2013年12月31日
国家自然科学基金
0+阅读 · 2012年12月31日
国家自然科学基金
1+阅读 · 2012年12月31日
国家自然科学基金
0+阅读 · 2012年12月31日
国家自然科学基金
2+阅读 · 2012年12月31日
国家自然科学基金
0+阅读 · 2011年12月31日
国家自然科学基金
0+阅读 · 2011年12月31日
国家自然科学基金
0+阅读 · 2009年12月31日
VIP会员
相关资讯
ACM MM 2022 Call for Papers
CCF多媒体专委会
5+阅读 · 2022年3月29日
AIART 2022 Call for Papers
CCF多媒体专委会
1+阅读 · 2022年2月13日
【ICIG2021】Latest News & Announcements of the Industry Talk1
中国图象图形学学会CSIG
0+阅读 · 2021年7月28日
强化学习三篇论文 避免遗忘等
CreateAMind
20+阅读 · 2019年5月24日
Hierarchically Structured Meta-learning
CreateAMind
27+阅读 · 2019年5月22日
Unsupervised Learning via Meta-Learning
CreateAMind
43+阅读 · 2019年1月3日
A Technical Overview of AI & ML in 2018 & Trends for 2019
待字闺中
18+阅读 · 2018年12月24日
Capsule Networks解析
机器学习研究会
11+阅读 · 2017年11月12日
强化学习族谱
CreateAMind
26+阅读 · 2017年8月2日
相关基金
国家自然科学基金
3+阅读 · 2014年12月31日
国家自然科学基金
0+阅读 · 2013年12月31日
国家自然科学基金
0+阅读 · 2012年12月31日
国家自然科学基金
1+阅读 · 2012年12月31日
国家自然科学基金
0+阅读 · 2012年12月31日
国家自然科学基金
2+阅读 · 2012年12月31日
国家自然科学基金
0+阅读 · 2011年12月31日
国家自然科学基金
0+阅读 · 2011年12月31日
国家自然科学基金
0+阅读 · 2009年12月31日
Top
微信扫码咨询专知VIP会员