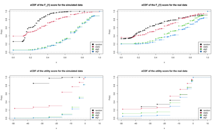
Recently the use of mobile technologies in Ecological Momentary Assessments (EMA) and Interventions (EMI) has made it easier to collect data suitable for intra-individual variability studies in the medical field. Nevertheless, especially when self-reports are used during the data collection process, there are difficulties in balancing data quality and the burden placed on the subjects. In this paper, we address this problem for a specific EMA setting which aims to submit a demanding task to subjects at high/low values of a self-reported variable. We adopt a dynamic approach inspired by control chart methods and design optimization techniques to obtain an EMA triggering mechanism for data collection which takes into account both the individual variability of the self-reported variable and of the adherence rate. We test the algorithm in both a simulation setting and with real, large-scale data from a tinnitus longitudinal study. A Wilcoxon-Mann-Whitney Rank Sum Test shows that the algorithm tends to have both a higher F1 score and utility than a random schedule and a rule-based algorithm with static thresholds, which are the current state-of-the-art approaches. In conclusion, the algorithm is proven effective in balancing data quality and the burden placed on the participants, especially, as the analysis performed suggest, in studies where data collection is impacted by adherence.


翻译:最近,在生态动力评估和干预(EMI)中使用移动技术使收集适合医疗领域个人内部变异研究的数据更加容易,然而,特别是在数据收集过程中使用自我报告时,很难平衡数据质量和对主体造成的负担。在本文件中,我们处理在特定EMA设置问题上的这一问题,该设置旨在向自报变量的高值/低值对象提交高值/低值任务;我们采用了一种动态方法,在控制图表方法的启发下,设计优化技术,以获得数据收集的EMA触发机制,其中既考虑到自报变量的个别变异性,又考虑到遵守率的个别变异性。我们在模拟环境中测试算法,并用一个长视力研究中真实的大规模数据进行测试。 Wilcoxon-Man-Whitney Rang Sum测试显示,算法往往具有更高的F1分和实用性,而不是随机表和基于规则的定限值算法,这是当前最先进的方法。在结论中,在数据采集数据时,算法是有效的平衡数据质量和精确性分析。在分析中,结果显示,在分析中,在数据采集数据时,受影响的数据是有效的平衡。

0
下载
关闭预览

相关内容

Linux导论,Introduction to Linux,96页ppt
专知会员服务
81+阅读 · 2020年7月26日
强化学习最新教程,17页pdf
专知会员服务
182+阅读 · 2019年10月11日
2019年机器学习框架回顾
专知会员服务
36+阅读 · 2019年10月11日
[综述]深度学习下的场景文本检测与识别
专知会员服务
78+阅读 · 2019年10月10日
机器学习入门的经验与建议
专知会员服务
94+阅读 · 2019年10月10日
【哈佛大学商学院课程Fall 2019】机器学习可解释性
专知会员服务
105+阅读 · 2019年10月9日
VCIP 2022 Call for Demos
CCF多媒体专委会
1+阅读 · 2022年6月6日
VCIP 2022 Call for Special Session Proposals
CCF多媒体专委会
1+阅读 · 2022年4月1日
ACM MM 2022 Call for Papers
CCF多媒体专委会
5+阅读 · 2022年3月29日
AIART 2022 Call for Papers
CCF多媒体专委会
1+阅读 · 2022年2月13日
【ICIG2021】Latest News & Announcements of the Tutorial
中国图象图形学学会CSIG
3+阅读 · 2021年12月20日
【ICIG2021】Check out the hot new trailer of ICIG2021 Symposium1
中国图象图形学学会CSIG
0+阅读 · 2021年11月3日
【ICIG2021】Latest News & Announcements of the Plenary Talk2
中国图象图形学学会CSIG
0+阅读 · 2021年11月2日
【ICIG2021】Latest News & Announcements of the Plenary Talk1
中国图象图形学学会CSIG
0+阅读 · 2021年11月1日
Hierarchically Structured Meta-learning
CreateAMind
27+阅读 · 2019年5月22日
Transferring Knowledge across Learning Processes
CreateAMind
29+阅读 · 2019年5月18日
国家自然科学基金
0+阅读 · 2017年12月31日
国家自然科学基金
0+阅读 · 2014年12月31日
国家自然科学基金
0+阅读 · 2012年12月31日
国家自然科学基金
0+阅读 · 2012年12月31日
国家自然科学基金
0+阅读 · 2011年12月31日
国家自然科学基金
0+阅读 · 2011年12月31日
国家自然科学基金
0+阅读 · 2011年12月31日
国家自然科学基金
0+阅读 · 2008年12月31日
Adaptive Synthetic Characters for Military Training
Arxiv
50+阅读 · 2021年1月6日
Arxiv
126+阅读 · 2020年9月6日
VIP会员
相关VIP内容
Linux导论,Introduction to Linux,96页ppt
专知会员服务
81+阅读 · 2020年7月26日
强化学习最新教程,17页pdf
专知会员服务
182+阅读 · 2019年10月11日
2019年机器学习框架回顾
专知会员服务
36+阅读 · 2019年10月11日
[综述]深度学习下的场景文本检测与识别
专知会员服务
78+阅读 · 2019年10月10日
机器学习入门的经验与建议
专知会员服务
94+阅读 · 2019年10月10日
【哈佛大学商学院课程Fall 2019】机器学习可解释性
专知会员服务
105+阅读 · 2019年10月9日
相关资讯
VCIP 2022 Call for Demos
CCF多媒体专委会
1+阅读 · 2022年6月6日
VCIP 2022 Call for Special Session Proposals
CCF多媒体专委会
1+阅读 · 2022年4月1日
ACM MM 2022 Call for Papers
CCF多媒体专委会
5+阅读 · 2022年3月29日
AIART 2022 Call for Papers
CCF多媒体专委会
1+阅读 · 2022年2月13日
【ICIG2021】Latest News & Announcements of the Tutorial
中国图象图形学学会CSIG
3+阅读 · 2021年12月20日
【ICIG2021】Check out the hot new trailer of ICIG2021 Symposium1
中国图象图形学学会CSIG
0+阅读 · 2021年11月3日
【ICIG2021】Latest News & Announcements of the Plenary Talk2
中国图象图形学学会CSIG
0+阅读 · 2021年11月2日
【ICIG2021】Latest News & Announcements of the Plenary Talk1
中国图象图形学学会CSIG
0+阅读 · 2021年11月1日
Hierarchically Structured Meta-learning
CreateAMind
27+阅读 · 2019年5月22日
Transferring Knowledge across Learning Processes
CreateAMind
29+阅读 · 2019年5月18日
相关基金
国家自然科学基金
0+阅读 · 2017年12月31日
国家自然科学基金
0+阅读 · 2014年12月31日
国家自然科学基金
0+阅读 · 2012年12月31日
国家自然科学基金
0+阅读 · 2012年12月31日
国家自然科学基金
0+阅读 · 2011年12月31日
国家自然科学基金
0+阅读 · 2011年12月31日
国家自然科学基金
0+阅读 · 2011年12月31日
国家自然科学基金
0+阅读 · 2008年12月31日
Top
微信扫码咨询专知VIP会员