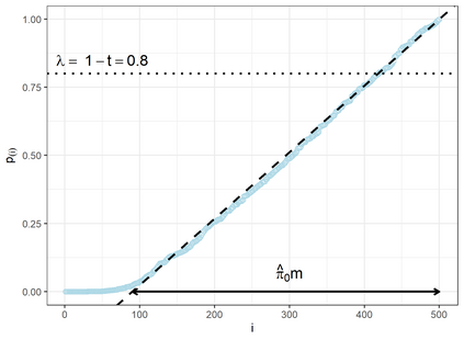
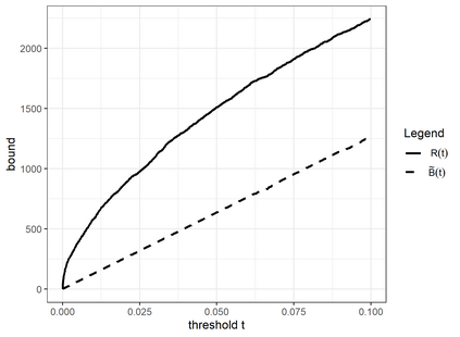
We introduce a multiple testing method that controls the median of the proportion of false discoveries (FDP) in a flexible way. Our method only requires a vector of p-values as input and is comparable to the Benjamini-Hochberg method, which controls the mean of the FDP. Benjamini-Hochberg requires choosing the target FDP alpha before looking at the data, but our method does not. For example, if using alpha=0.05 leads to no discoveries, alpha can be increased to 0.1. We further provide mFDP-adjusted p-values, which consequently also have a post hoc interpretation. The method does not assume independence and was valid in all considered simulation scenarios. The procedure is inspired by the popular estimator of the total number of true hypotheses by Schweder, Spj{\o}tvoll and Storey. We adapt this estimator to provide a median unbiased estimator of the FDP, first assuming that a fixed rejection threshold is used. Taking this as a starting point, we proceed to construct simultaneously median unbiased estimators of the FDP. This simultaneity allows for the claimed flexibility. Our method is powerful and its time complexity is linear in the number of hypotheses, after sorting the p-values.


翻译:我们引入了多种测试方法, 以灵活的方式控制虚假发现比例的中位值。 我们的方法只要求将 p值矢量作为输入值, 并且与控制 FDP 平均值的Benjami-Hochberg 方法相似。 Benjami-Hochberg 要求在查看数据之前选择目标 FDP alpha, 但我们的方法并非如此。 例如, 如果使用 alpha=0.05 导致没有发现, 则alpha 可以增加到 0.1 。 我们进一步提供 mFDP 调整的 p- 值, 从而也有一个后临时解释 。 该方法不具有独立性, 在所有考虑的模拟情景中都有效。 程序受Schweder、 Spj_Ho}tvoll 和 Storey 的全部真实假设的流行估测师的启发。 我们调整了这个估测器, 以提供FDP 的中位不偏向性估测器, 首先假设使用了固定的拒绝阈值。 我们以此作为起点, 我们着手同时构建 FDP 的中位公正估测器, 。 这个模拟模型的精度在要求的精度中, 。 的精度的精度是精度 。

0
下载
关闭预览

相关内容

不可错过!《机器学习100讲》课程,UBC Mark Schmidt讲授
专知会员服务
76+阅读 · 2022年6月28日
专知会员服务
124+阅读 · 2020年9月8日
强化学习最新教程,17页pdf
专知会员服务
182+阅读 · 2019年10月11日
机器学习入门的经验与建议
专知会员服务
94+阅读 · 2019年10月10日
【哈佛大学商学院课程Fall 2019】机器学习可解释性
专知会员服务
105+阅读 · 2019年10月9日
AIART 2022 Call for Papers
CCF多媒体专委会
1+阅读 · 2022年2月13日
【ICIG2021】Check out the hot new trailer of ICIG2021 Symposium7
中国图象图形学学会CSIG
0+阅读 · 2021年11月15日
【ICIG2021】Check out the hot new trailer of ICIG2021 Symposium6
中国图象图形学学会CSIG
2+阅读 · 2021年11月12日
【ICIG2021】Check out the hot new trailer of ICIG2021 Symposium5
中国图象图形学学会CSIG
1+阅读 · 2021年11月11日
【ICIG2021】Check out the hot new trailer of ICIG2021 Symposium4
中国图象图形学学会CSIG
0+阅读 · 2021年11月10日
【ICIG2021】Check out the hot new trailer of ICIG2021 Symposium3
中国图象图形学学会CSIG
0+阅读 · 2021年11月9日
【ICIG2021】Check out the hot new trailer of ICIG2021 Symposium2
中国图象图形学学会CSIG
0+阅读 · 2021年11月8日
【ICIG2021】Check out the hot new trailer of ICIG2021 Symposium1
中国图象图形学学会CSIG
0+阅读 · 2021年11月3日
Transferring Knowledge across Learning Processes
CreateAMind
29+阅读 · 2019年5月18日
A Technical Overview of AI & ML in 2018 & Trends for 2019
待字闺中
18+阅读 · 2018年12月24日
国家自然科学基金
0+阅读 · 2013年12月31日
国家自然科学基金
0+阅读 · 2012年12月31日
国家自然科学基金
0+阅读 · 2012年12月31日
国家自然科学基金
0+阅读 · 2012年12月31日
国家自然科学基金
0+阅读 · 2011年12月31日
国家自然科学基金
0+阅读 · 2009年12月31日
国家自然科学基金
0+阅读 · 2008年12月31日
国家自然科学基金
0+阅读 · 2008年12月31日
国家自然科学基金
0+阅读 · 2008年12月31日
Arxiv
0+阅读 · 2022年10月17日
Arxiv
0+阅读 · 2022年10月17日
Arxiv
0+阅读 · 2022年10月14日
Arxiv
0+阅读 · 2022年10月13日
VIP会员
相关VIP内容
相关资讯
AIART 2022 Call for Papers
CCF多媒体专委会
1+阅读 · 2022年2月13日
【ICIG2021】Check out the hot new trailer of ICIG2021 Symposium7
中国图象图形学学会CSIG
0+阅读 · 2021年11月15日
【ICIG2021】Check out the hot new trailer of ICIG2021 Symposium6
中国图象图形学学会CSIG
2+阅读 · 2021年11月12日
【ICIG2021】Check out the hot new trailer of ICIG2021 Symposium5
中国图象图形学学会CSIG
1+阅读 · 2021年11月11日
【ICIG2021】Check out the hot new trailer of ICIG2021 Symposium4
中国图象图形学学会CSIG
0+阅读 · 2021年11月10日
【ICIG2021】Check out the hot new trailer of ICIG2021 Symposium3
中国图象图形学学会CSIG
0+阅读 · 2021年11月9日
【ICIG2021】Check out the hot new trailer of ICIG2021 Symposium2
中国图象图形学学会CSIG
0+阅读 · 2021年11月8日
【ICIG2021】Check out the hot new trailer of ICIG2021 Symposium1
中国图象图形学学会CSIG
0+阅读 · 2021年11月3日
Transferring Knowledge across Learning Processes
CreateAMind
29+阅读 · 2019年5月18日
A Technical Overview of AI & ML in 2018 & Trends for 2019
待字闺中
18+阅读 · 2018年12月24日
相关基金
国家自然科学基金
0+阅读 · 2013年12月31日
国家自然科学基金
0+阅读 · 2012年12月31日
国家自然科学基金
0+阅读 · 2012年12月31日
国家自然科学基金
0+阅读 · 2012年12月31日
国家自然科学基金
0+阅读 · 2011年12月31日
国家自然科学基金
0+阅读 · 2009年12月31日
国家自然科学基金
0+阅读 · 2008年12月31日
国家自然科学基金
0+阅读 · 2008年12月31日
国家自然科学基金
0+阅读 · 2008年12月31日
Top
微信扫码咨询专知VIP会员