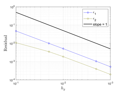
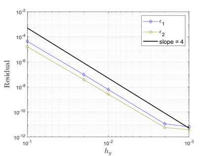
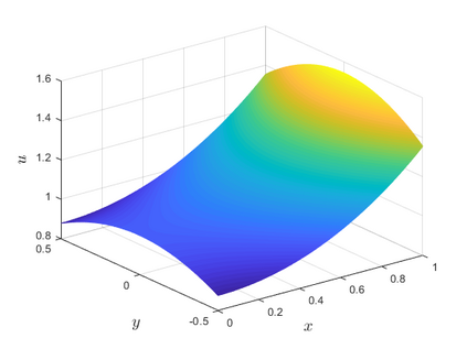
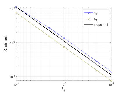
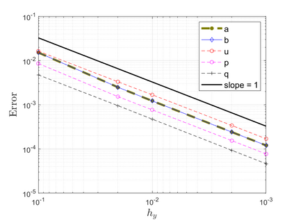
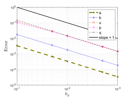
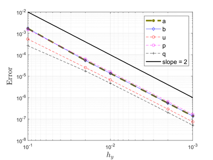
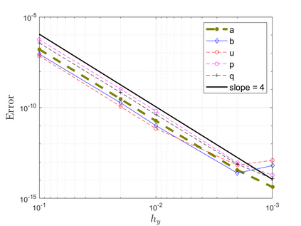
We present three alternative derivations of the method of characteristics (MOC) for a second order nonlinear hyperbolic partial differential equation. The MOC gives rise to two mutually coupled systems of ordinary differential equations. As a special case we consider the Monge-Amp\`ere equation, for which we solve the system of ODE's using explicit one-step methods (Euler, Runge-Kutta) and spline interpolation. Numerical examples demonstrate the performance of the methods.


翻译:我们提出了二阶非线性双曲部分偏差方程式特性方法(MOC)的三种不同推论:MOC产生两个相互结合的普通差分方程式系统。作为一个特殊案例,我们考虑蒙古-安培-埃雷方程式,为此,我们使用明确的一步法(Euler、Runge-Kutta)和样板内插法解决了ODE系统(Euler、Runge-Kutta)和样板内插法。数字示例显示了方法的性能。

0
下载
关闭预览

相关内容

专知会员服务
51+阅读 · 2020年12月14日
经济学中的数据科学,Data Science in Economics,附22页pdf
专知会员服务
36+阅读 · 2020年4月1日
【新书】Python编程基础,669页pdf
专知会员服务
197+阅读 · 2019年10月10日
Hierarchically Structured Meta-learning
CreateAMind
27+阅读 · 2019年5月22日
IEEE | DSC 2019诚邀稿件 (EI检索)
Call4Papers
10+阅读 · 2019年2月25日
【泡泡一分钟】用于平面环境的线性RGBD-SLAM
泡泡机器人SLAM
6+阅读 · 2018年12月18日
Disentangled的假设的探讨
CreateAMind
9+阅读 · 2018年12月10日
【NIPS2018】接收论文列表
专知
5+阅读 · 2018年9月10日
Hierarchical Disentangled Representations
CreateAMind
4+阅读 · 2018年4月15日
【论文】变分推断(Variational inference)的总结
机器学习研究会
39+阅读 · 2017年11月16日
Auto-Encoding GAN
CreateAMind
7+阅读 · 2017年8月4日
VIP会员
相关资讯
Hierarchically Structured Meta-learning
CreateAMind
27+阅读 · 2019年5月22日
IEEE | DSC 2019诚邀稿件 (EI检索)
Call4Papers
10+阅读 · 2019年2月25日
【泡泡一分钟】用于平面环境的线性RGBD-SLAM
泡泡机器人SLAM
6+阅读 · 2018年12月18日
Disentangled的假设的探讨
CreateAMind
9+阅读 · 2018年12月10日
【NIPS2018】接收论文列表
专知
5+阅读 · 2018年9月10日
Hierarchical Disentangled Representations
CreateAMind
4+阅读 · 2018年4月15日
【论文】变分推断(Variational inference)的总结
机器学习研究会
39+阅读 · 2017年11月16日
Auto-Encoding GAN
CreateAMind
7+阅读 · 2017年8月4日
Top
微信扫码咨询专知VIP会员