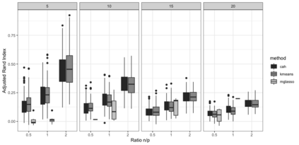
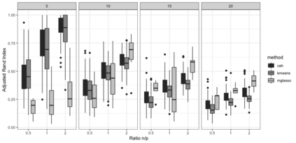
Gaussian Graphical Models (GGMs) are widely used for exploratory data analysis in various fields such as genomics, ecology, psychometry. In a high-dimensional setting, when the number of variables exceeds the number of observations by several orders of magnitude, the estimation of GGM is a difficult and unstable optimization problem. Clustering of variables or variable selection is often performed prior to GGM estimation. We propose a new method allowing to simultaneously infer a hierarchical clustering structure and the graphs describing the structure of independence at each level of the hierarchy. This method is based on solving a convex optimization problem combining a graphical lasso penalty with a fused type lasso penalty. Results on real and synthetic data are presented.


翻译:Gausian 图形模型(GGMS)被广泛用于基因组学、生态学、精神测量等各个领域的探索性数据分析。在高维环境中,当变量数量超过观测数量以几个数量级表示时,对GGM的估计是一个困难和不稳定的优化问题。变量或变量选择的分组往往在GGGM估算之前进行。我们建议了一种新的方法,允许同时推算等级分组结构和描述各级独立结构的图表。这种方法的基础是解决将图形拉索处罚与引信型拉索处罚相结合的二次曲线优化问题。我们介绍了关于真实和合成数据的结果。

0
下载
关闭预览

相关内容

《图形模型》是国际公认的高评价的顶级期刊,专注于图形模型的创建、几何处理、动画和可视化,以及它们在工程、科学、文化和娱乐方面的应用。GMOD为其读者提供了经过彻底审查和精心挑选的论文,这些论文传播令人兴奋的创新,传授严谨的理论基础,提出健壮和有效的解决方案,或描述各种主题中的雄心勃勃的系统或应用程序。 官网地址:http://dblp.uni-trier.de/db/journals/cvgip/
不可错过!700+ppt《因果推理》课程!杜克大学Fan Li教程
专知会员服务
72+阅读 · 2022年7月11日
不可错过!《机器学习100讲》课程,UBC Mark Schmidt讲授
专知会员服务
76+阅读 · 2022年6月28日
因果图,Causal Graphs,52页ppt
专知会员服务
253+阅读 · 2020年4月19日
专知会员服务
162+阅读 · 2020年1月16日
机器学习入门的经验与建议
专知会员服务
94+阅读 · 2019年10月10日
【SIGGRAPH2019】TensorFlow 2.0深度学习计算机图形学应用
专知会员服务
41+阅读 · 2019年10月9日
IEEE ICKG 2022: Call for Papers
机器学习与推荐算法
3+阅读 · 2022年3月30日
ACM MM 2022 Call for Papers
CCF多媒体专委会
5+阅读 · 2022年3月29日
ACM TOMM Call for Papers
CCF多媒体专委会
2+阅读 · 2022年3月23日
AIART 2022 Call for Papers
CCF多媒体专委会
1+阅读 · 2022年2月13日
【ICIG2021】Check out the hot new trailer of ICIG2021 Symposium6
中国图象图形学学会CSIG
2+阅读 · 2021年11月12日
Hierarchically Structured Meta-learning
CreateAMind
27+阅读 · 2019年5月22日
Transferring Knowledge across Learning Processes
CreateAMind
29+阅读 · 2019年5月18日
深度自进化聚类:Deep Self-Evolution Clustering
我爱读PAMI
15+阅读 · 2019年4月13日
A Technical Overview of AI & ML in 2018 & Trends for 2019
待字闺中
18+阅读 · 2018年12月24日
【论文】变分推断(Variational inference)的总结
机器学习研究会
39+阅读 · 2017年11月16日
国家自然科学基金
0+阅读 · 2015年12月31日
国家自然科学基金
2+阅读 · 2015年12月31日
国家自然科学基金
1+阅读 · 2013年12月31日
国家自然科学基金
0+阅读 · 2013年12月31日
国家自然科学基金
0+阅读 · 2012年12月31日
国家自然科学基金
0+阅读 · 2012年12月31日
国家自然科学基金
0+阅读 · 2009年12月31日
国家自然科学基金
1+阅读 · 2008年12月31日
Arxiv
0+阅读 · 2022年8月10日
Arxiv
0+阅读 · 2022年8月8日
Arxiv
23+阅读 · 2022年2月24日
Arxiv
112+阅读 · 2020年2月5日
VIP会员
相关资讯
IEEE ICKG 2022: Call for Papers
机器学习与推荐算法
3+阅读 · 2022年3月30日
ACM MM 2022 Call for Papers
CCF多媒体专委会
5+阅读 · 2022年3月29日
ACM TOMM Call for Papers
CCF多媒体专委会
2+阅读 · 2022年3月23日
AIART 2022 Call for Papers
CCF多媒体专委会
1+阅读 · 2022年2月13日
【ICIG2021】Check out the hot new trailer of ICIG2021 Symposium6
中国图象图形学学会CSIG
2+阅读 · 2021年11月12日
Hierarchically Structured Meta-learning
CreateAMind
27+阅读 · 2019年5月22日
Transferring Knowledge across Learning Processes
CreateAMind
29+阅读 · 2019年5月18日
深度自进化聚类:Deep Self-Evolution Clustering
我爱读PAMI
15+阅读 · 2019年4月13日
A Technical Overview of AI & ML in 2018 & Trends for 2019
待字闺中
18+阅读 · 2018年12月24日
【论文】变分推断(Variational inference)的总结
机器学习研究会
39+阅读 · 2017年11月16日
相关基金
国家自然科学基金
0+阅读 · 2015年12月31日
国家自然科学基金
2+阅读 · 2015年12月31日
国家自然科学基金
1+阅读 · 2013年12月31日
国家自然科学基金
0+阅读 · 2013年12月31日
国家自然科学基金
0+阅读 · 2012年12月31日
国家自然科学基金
0+阅读 · 2012年12月31日
国家自然科学基金
0+阅读 · 2009年12月31日
国家自然科学基金
1+阅读 · 2008年12月31日
Top
微信扫码咨询专知VIP会员