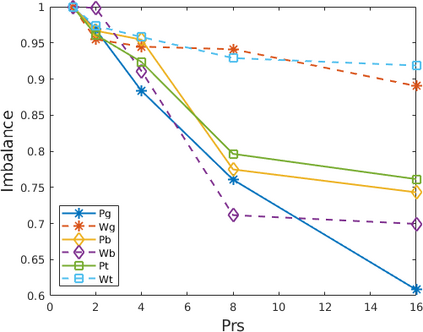
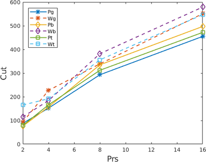
Discrete Fracture Network models are largely used for very large scale geological flow simulations. For this reason numerical methods require an investigation of tools for efficient parallel solutions on High Performance Computing systems. In this paper we discuss and compare several partitioning and reordering strategies, that result to be highly efficient and scalable, overperforming the classical mesh partitioning approach used to partition a conforming mesh among several processes.


翻译:分立断裂网络模型主要用于大规模地质流模拟。 因此,数字方法要求对高性能计算系统高效平行解决方案的工具进行调查。 在本文中,我们讨论并比较了几种分隔和重新排序战略,其结果是高效和可缩放,高超了用于将符合多个流程的网格分隔开来的传统网格分割法。

0
下载
关闭预览

相关内容

专知会员服务
51+阅读 · 2020年12月14日
Linux导论,Introduction to Linux,96页ppt
专知会员服务
82+阅读 · 2020年7月26日
Stabilizing Transformers for Reinforcement Learning
专知会员服务
60+阅读 · 2019年10月17日
Hierarchically Structured Meta-learning
CreateAMind
27+阅读 · 2019年5月22日
Transferring Knowledge across Learning Processes
CreateAMind
29+阅读 · 2019年5月18日
IEEE | DSC 2019诚邀稿件 (EI检索)
Call4Papers
10+阅读 · 2019年2月25日
A Technical Overview of AI & ML in 2018 & Trends for 2019
待字闺中
18+阅读 · 2018年12月24日
CCF B类期刊IPM专刊截稿信息1条
Call4Papers
3+阅读 · 2018年10月11日
disentangled-representation-papers
CreateAMind
26+阅读 · 2018年9月12日
Hierarchical Imitation - Reinforcement Learning
CreateAMind
19+阅读 · 2018年5月25日
Hierarchical Disentangled Representations
CreateAMind
4+阅读 · 2018年4月15日
分布式TensorFlow入门指南
机器学习研究会
4+阅读 · 2017年11月28日
Auto-Encoding GAN
CreateAMind
7+阅读 · 2017年8月4日
Arxiv
15+阅读 · 2020年12月17日
VIP会员
相关资讯
Hierarchically Structured Meta-learning
CreateAMind
27+阅读 · 2019年5月22日
Transferring Knowledge across Learning Processes
CreateAMind
29+阅读 · 2019年5月18日
IEEE | DSC 2019诚邀稿件 (EI检索)
Call4Papers
10+阅读 · 2019年2月25日
A Technical Overview of AI & ML in 2018 & Trends for 2019
待字闺中
18+阅读 · 2018年12月24日
CCF B类期刊IPM专刊截稿信息1条
Call4Papers
3+阅读 · 2018年10月11日
disentangled-representation-papers
CreateAMind
26+阅读 · 2018年9月12日
Hierarchical Imitation - Reinforcement Learning
CreateAMind
19+阅读 · 2018年5月25日
Hierarchical Disentangled Representations
CreateAMind
4+阅读 · 2018年4月15日
分布式TensorFlow入门指南
机器学习研究会
4+阅读 · 2017年11月28日
Auto-Encoding GAN
CreateAMind
7+阅读 · 2017年8月4日
Top
微信扫码咨询专知VIP会员