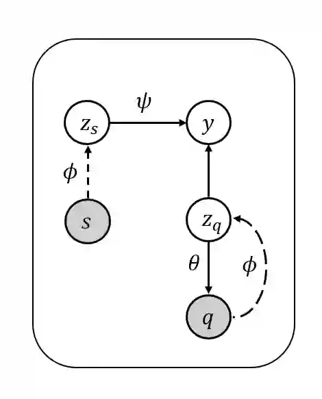
Transductive methods always outperform inductive methods in few-shot image classification scenarios. However, the existing few-shot methods contain a latent condition: the number of samples in each class is the same, which may be unrealistic. To cope with those cases where the query shots of each class are nonuniform (i.e. nonuniform few-shot learning), we propose a Task-Prior Conditional Variational Auto-Encoder model named TP-VAE, conditioned on support shots and constrained by a task-level prior regularization. Our method obtains high performance in the more challenging nonuniform few-shot scenarios. Moreover, our method outperforms the state-of-the-art in a wide range of standard few-shot image classification scenarios. Among them, the accuracy of 1-shot increased by about 3\%.


翻译:转基因方法总是优于在几发图像分类假设情景中的感应方法。然而,现有的微粒方法含有潜在条件:每类样本的数量相同,可能不切实际。为了应对每类的查询镜头不统一(即不统一微粒学习)的情况,我们建议采用名为TP-VAE的特遣-初级条件变异自动-Encoder模型,该模型以支持射击为条件,并受任务级别先前的规范制约。我们的方法在更具挑战性的非统一微粒假设中取得了很高的性能。此外,我们的方法在一系列标准的几发图像分类假设中超过了最新水平。其中,1发的精确度增加了约3 ⁇ 。

0
下载
关闭预览

相关内容

小样本学习(Few-Shot Learning,以下简称 FSL )用于解决当可用的数据量比较少时,如何提升神经网络的性能。在 FSL 中,经常用到的一类方法被称为 Meta-learning。和普通的神经网络的训练方法一样,Meta-learning 也包含训练过程和测试过程,但是它的训练过程被称作 Meta-training 和 Meta-testing。
零样本文本分类,Zero-Shot Learning for Text Classification
专知会员服务
97+阅读 · 2020年5月31日
机器学习入门的经验与建议
专知会员服务
94+阅读 · 2019年10月10日
【哈佛大学商学院课程Fall 2019】机器学习可解释性
专知会员服务
105+阅读 · 2019年10月9日
【SIGGRAPH2019】TensorFlow 2.0深度学习计算机图形学应用
专知会员服务
41+阅读 · 2019年10月9日
征稿 | International Joint Conference on Knowledge Graphs (IJCKG)
开放知识图谱
2+阅读 · 2022年5月20日
ACM MM 2022 Call for Papers
CCF多媒体专委会
5+阅读 · 2022年3月29日
AIART 2022 Call for Papers
CCF多媒体专委会
1+阅读 · 2022年2月13日
Call for Nominations: 2022 Multimedia Prize Paper Award
CCF多媒体专委会
0+阅读 · 2022年2月12日
Hierarchically Structured Meta-learning
CreateAMind
27+阅读 · 2019年5月22日
Transferring Knowledge across Learning Processes
CreateAMind
29+阅读 · 2019年5月18日
Unsupervised Learning via Meta-Learning
CreateAMind
43+阅读 · 2019年1月3日
disentangled-representation-papers
CreateAMind
26+阅读 · 2018年9月12日
【论文】变分推断(Variational inference)的总结
机器学习研究会
39+阅读 · 2017年11月16日
国家自然科学基金
0+阅读 · 2013年12月31日
国家自然科学基金
0+阅读 · 2012年12月31日
国家自然科学基金
0+阅读 · 2012年12月31日
国家自然科学基金
1+阅读 · 2011年12月31日
国家自然科学基金
0+阅读 · 2011年12月31日
国家自然科学基金
0+阅读 · 2009年12月31日
国家自然科学基金
0+阅读 · 2009年12月31日
Arxiv
13+阅读 · 2019年2月28日
Arxiv
11+阅读 · 2018年10月17日
VIP会员
相关资讯
征稿 | International Joint Conference on Knowledge Graphs (IJCKG)
开放知识图谱
2+阅读 · 2022年5月20日
ACM MM 2022 Call for Papers
CCF多媒体专委会
5+阅读 · 2022年3月29日
AIART 2022 Call for Papers
CCF多媒体专委会
1+阅读 · 2022年2月13日
Call for Nominations: 2022 Multimedia Prize Paper Award
CCF多媒体专委会
0+阅读 · 2022年2月12日
Hierarchically Structured Meta-learning
CreateAMind
27+阅读 · 2019年5月22日
Transferring Knowledge across Learning Processes
CreateAMind
29+阅读 · 2019年5月18日
Unsupervised Learning via Meta-Learning
CreateAMind
43+阅读 · 2019年1月3日
disentangled-representation-papers
CreateAMind
26+阅读 · 2018年9月12日
【论文】变分推断(Variational inference)的总结
机器学习研究会
39+阅读 · 2017年11月16日
相关基金
国家自然科学基金
0+阅读 · 2013年12月31日
国家自然科学基金
0+阅读 · 2012年12月31日
国家自然科学基金
0+阅读 · 2012年12月31日
国家自然科学基金
1+阅读 · 2011年12月31日
国家自然科学基金
0+阅读 · 2011年12月31日
国家自然科学基金
0+阅读 · 2009年12月31日
国家自然科学基金
0+阅读 · 2009年12月31日
Top
微信扫码咨询专知VIP会员