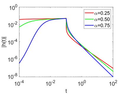
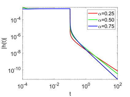
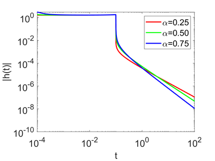
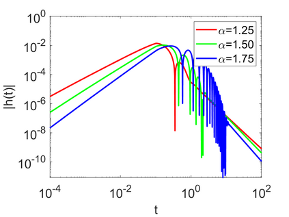
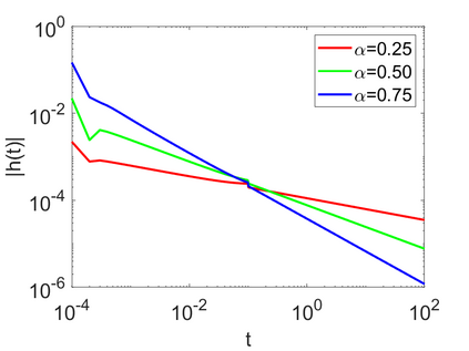
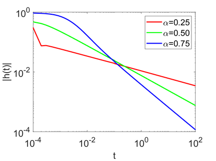
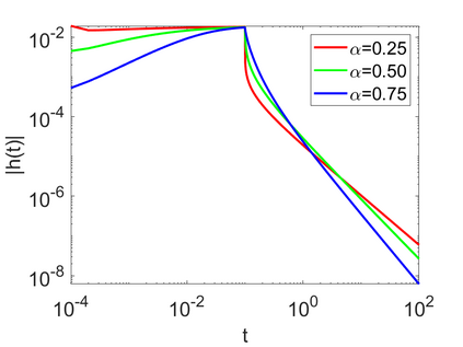
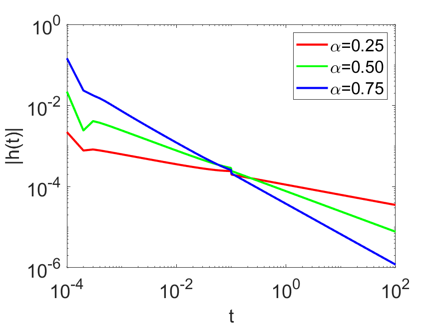
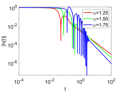
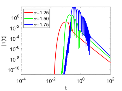
In this work, we investigate the recovery of a parameter in a diffusion process given by the order of derivation in time for a class of diffusion type equations, including both classical and time-fractional diffusion equations, from the flux measurement observed at one point on the boundary. The mathematical model for time-fractional diffusion equations involves a Djrbashian-Caputo fractional derivative in time. We prove a uniqueness result in an unknown medium (e.g., diffusion coefficients, obstacle, initial condition and source), i.e., the recovery of the order of derivation in a diffusion process having several pieces of unknown information. The proof relies on the analyticity of the solution at large time, asymptotic decay behavior, strong maximum principle of the elliptic problem and suitable application of the Hopf lemma. Further we provide an easy-to-implement reconstruction algorithm based on a nonlinear least-squares formulation, and several numerical experiments are presented to complement the theoretical analysis.


翻译:在这项工作中,我们调查从边界某一点观测到的通量测量中及时从一个扩散型方程式类别(包括古典和时间折射扩散方程式)的测算中,从一个扩散过程的测算中,从一个扩散过程的测算中,及时提取一个参数。时间折射扩散方程式的数学模型涉及一个及时的Djrbashian-Caputo分数衍生物。我们证明一个独特的结果是一个未知的介质(例如,扩散系数、障碍、初始条件和来源),即利用若干未知信息,在一个扩散过程中恢复一个测算顺序。证据依据的是:大规模溶剂的解析性、消化性腐蚀行为、椭圆性问题的强烈最大原理以及Hopflemma的恰当应用。此外,我们提供了基于非线性最小方形配方的易于执行的重整算法,并提出了若干项数字实验,以补充理论分析。

0
下载
关闭预览

相关内容

专知会员服务
78+阅读 · 2021年3月16日
专知会员服务
51+阅读 · 2020年12月14日
专知会员服务
162+阅读 · 2020年1月16日
强化学习最新教程,17页pdf
专知会员服务
182+阅读 · 2019年10月11日
【哈佛大学商学院课程Fall 2019】机器学习可解释性
专知会员服务
105+阅读 · 2019年10月9日
MIT新书《强化学习与最优控制》
专知会员服务
281+阅读 · 2019年10月9日
意识是一种数学模式
CreateAMind
3+阅读 · 2019年6月24日
强化学习三篇论文 避免遗忘等
CreateAMind
20+阅读 · 2019年5月24日
Unsupervised Learning via Meta-Learning
CreateAMind
43+阅读 · 2019年1月3日
已删除
将门创投
4+阅读 · 2018年7月31日
Hierarchical Disentangled Representations
CreateAMind
4+阅读 · 2018年4月15日
【论文】变分推断(Variational inference)的总结
机器学习研究会
39+阅读 · 2017年11月16日
Adversarial Variational Bayes: Unifying VAE and GAN 代码
CreateAMind
7+阅读 · 2017年10月4日
Auto-Encoding GAN
CreateAMind
7+阅读 · 2017年8月4日
VIP会员
相关资讯
意识是一种数学模式
CreateAMind
3+阅读 · 2019年6月24日
强化学习三篇论文 避免遗忘等
CreateAMind
20+阅读 · 2019年5月24日
Unsupervised Learning via Meta-Learning
CreateAMind
43+阅读 · 2019年1月3日
已删除
将门创投
4+阅读 · 2018年7月31日
Hierarchical Disentangled Representations
CreateAMind
4+阅读 · 2018年4月15日
【论文】变分推断(Variational inference)的总结
机器学习研究会
39+阅读 · 2017年11月16日
Adversarial Variational Bayes: Unifying VAE and GAN 代码
CreateAMind
7+阅读 · 2017年10月4日
Auto-Encoding GAN
CreateAMind
7+阅读 · 2017年8月4日
Top
微信扫码咨询专知VIP会员