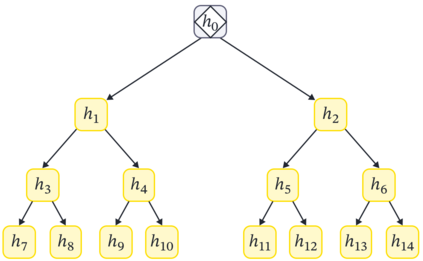
Cross Attention is a popular method for retrieving information from a set of context tokens for making predictions. At inference time, for each prediction, Cross Attention scans the full set of $\mathcal{O}(N)$ tokens. In practice, however, often only a small subset of tokens are required for good performance. Methods such as Perceiver IO are cheap at inference as they distill the information to a smaller-sized set of latent tokens $L < N$ on which cross attention is then applied, resulting in only $\mathcal{O}(L)$ complexity. However, in practice, as the number of input tokens and the amount of information to distill increases, the number of latent tokens needed also increases significantly. In this work, we propose Tree Cross Attention (TCA) - a module based on Cross Attention that only retrieves information from a logarithmic $\mathcal{O}(\log(N))$ number of tokens for performing inference. TCA organizes the data in a tree structure and performs a tree search at inference time to retrieve the relevant tokens for prediction. Leveraging TCA, we introduce ReTreever, a flexible architecture for token-efficient inference. We show empirically that Tree Cross Attention (TCA) performs comparable to Cross Attention across various classification and uncertainty regression tasks while being significantly more token-efficient. Furthermore, we compare ReTreever against Perceiver IO, showing significant gains while using the same number of tokens for inference.


翻译:暂无翻译

0
下载
关闭预览

相关内容

【ACL2020】多模态信息抽取,365页ppt
专知会员服务
150+阅读 · 2020年7月6日
FlowQA: Grasping Flow in History for Conversational Machine Comprehension
专知会员服务
34+阅读 · 2019年10月18日
Stabilizing Transformers for Reinforcement Learning
专知会员服务
60+阅读 · 2019年10月17日
《DeepGCNs: Making GCNs Go as Deep as CNNs》
专知会员服务
31+阅读 · 2019年10月17日
Keras François Chollet 《Deep Learning with Python 》, 386页pdf
专知会员服务
161+阅读 · 2019年10月12日
【SIGGRAPH2019】TensorFlow 2.0深度学习计算机图形学应用
专知会员服务
41+阅读 · 2019年10月9日
Hierarchically Structured Meta-learning
CreateAMind
27+阅读 · 2019年5月22日
Transferring Knowledge across Learning Processes
CreateAMind
29+阅读 · 2019年5月18日
强化学习的Unsupervised Meta-Learning
CreateAMind
18+阅读 · 2019年1月7日
Unsupervised Learning via Meta-Learning
CreateAMind
43+阅读 · 2019年1月3日
A Technical Overview of AI & ML in 2018 & Trends for 2019
待字闺中
18+阅读 · 2018年12月24日
STRCF for Visual Object Tracking
统计学习与视觉计算组
15+阅读 · 2018年5月29日
Hierarchical Imitation - Reinforcement Learning
CreateAMind
19+阅读 · 2018年5月25日
Focal Loss for Dense Object Detection
统计学习与视觉计算组
12+阅读 · 2018年3月15日
IJCAI | Cascade Dynamics Modeling with Attention-based RNN
KingsGarden
13+阅读 · 2017年7月16日
From Softmax to Sparsemax-ICML16(1)
KingsGarden
74+阅读 · 2016年11月26日
国家自然科学基金
2+阅读 · 2017年12月31日
国家自然科学基金
13+阅读 · 2017年12月31日
国家自然科学基金
2+阅读 · 2015年12月31日
国家自然科学基金
2+阅读 · 2015年12月31日
国家自然科学基金
3+阅读 · 2015年12月31日
国家自然科学基金
0+阅读 · 2014年12月31日
国家自然科学基金
0+阅读 · 2014年12月31日
国家自然科学基金
0+阅读 · 2014年12月31日
国家自然科学基金
2+阅读 · 2014年12月31日
国家自然科学基金
0+阅读 · 2014年12月31日
Arxiv
0+阅读 · 2023年11月14日
Arxiv
0+阅读 · 2023年11月13日
Arxiv
0+阅读 · 2023年11月12日
Arxiv
12+阅读 · 2023年5月22日
Arxiv
16+阅读 · 2022年11月21日
Arxiv
12+阅读 · 2022年11月21日
Disentangled Information Bottleneck
Arxiv
12+阅读 · 2020年12月22日
Hierarchical Graph Capsule Network
Arxiv
20+阅读 · 2020年12月16日
Arxiv
12+阅读 · 2019年2月26日
Arxiv
14+阅读 · 2018年5月15日
VIP会员
相关VIP内容
相关资讯
Hierarchically Structured Meta-learning
CreateAMind
27+阅读 · 2019年5月22日
Transferring Knowledge across Learning Processes
CreateAMind
29+阅读 · 2019年5月18日
强化学习的Unsupervised Meta-Learning
CreateAMind
18+阅读 · 2019年1月7日
Unsupervised Learning via Meta-Learning
CreateAMind
43+阅读 · 2019年1月3日
A Technical Overview of AI & ML in 2018 & Trends for 2019
待字闺中
18+阅读 · 2018年12月24日
STRCF for Visual Object Tracking
统计学习与视觉计算组
15+阅读 · 2018年5月29日
Hierarchical Imitation - Reinforcement Learning
CreateAMind
19+阅读 · 2018年5月25日
Focal Loss for Dense Object Detection
统计学习与视觉计算组
12+阅读 · 2018年3月15日
IJCAI | Cascade Dynamics Modeling with Attention-based RNN
KingsGarden
13+阅读 · 2017年7月16日
From Softmax to Sparsemax-ICML16(1)
KingsGarden
74+阅读 · 2016年11月26日
相关论文
Arxiv
0+阅读 · 2023年11月14日
Arxiv
0+阅读 · 2023年11月13日
Arxiv
0+阅读 · 2023年11月12日
Arxiv
12+阅读 · 2023年5月22日
Arxiv
16+阅读 · 2022年11月21日
Arxiv
12+阅读 · 2022年11月21日
Disentangled Information Bottleneck
Arxiv
12+阅读 · 2020年12月22日
Hierarchical Graph Capsule Network
Arxiv
20+阅读 · 2020年12月16日
Arxiv
12+阅读 · 2019年2月26日
Arxiv
14+阅读 · 2018年5月15日
相关基金
国家自然科学基金
2+阅读 · 2017年12月31日
国家自然科学基金
13+阅读 · 2017年12月31日
国家自然科学基金
2+阅读 · 2015年12月31日
国家自然科学基金
2+阅读 · 2015年12月31日
国家自然科学基金
3+阅读 · 2015年12月31日
国家自然科学基金
0+阅读 · 2014年12月31日
国家自然科学基金
0+阅读 · 2014年12月31日
国家自然科学基金
0+阅读 · 2014年12月31日
国家自然科学基金
2+阅读 · 2014年12月31日
国家自然科学基金
0+阅读 · 2014年12月31日
Top
微信扫码咨询专知VIP会员