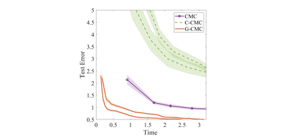
This paper studies distributed Bayesian learning in a setting encompassing a central server and multiple workers by focusing on the problem of mitigating the impact of stragglers. The standard one-shot, or embarrassingly parallel, Bayesian learning protocol known as consensus Monte Carlo (CMC) is generalized by proposing two straggler-resilient solutions based on grouping and coding. Two main challenges in designing straggler-resilient algorithms for CMC are the need to estimate the statistics of the workers' outputs across multiple shots, and the joint non-linear post-processing of the outputs of the workers carried out at the server. This is in stark contrast to other distributed settings like gradient coding, which only require the per-shot sum of the workers' outputs. The proposed methods, referred to as Group-based CMC (G-CMC) and Coded CMC (C-CMC), leverage redundant computing at the workers in order to enable the estimation of global posterior samples at the server based on partial outputs from the workers. Simulation results show that C-CMC may outperform G-CMC for a small number of workers, while G-CMC is generally preferable for a larger number of workers.


翻译:这份论文研究在包含中央服务器和多个工人的环境下散发了巴伊西亚人的学习资料,重点是减轻分流器影响的问题。标准的一发,或令人尴尬的平行,称为协商一致的蒙特卡洛(CMC)的巴伊西亚人学习协议,通过提出基于分组和编码的两种分流-弹性解决方案而得到普遍化。在为CMC设计分流-弹性算法方面,两个主要挑战就是需要估计工人在多个镜头之间产出的统计,以及在服务器上进行的工人产出的联合非线性后处理。这与其他分布式环境,如梯度编码,只需要工人产出的每发总和。拟议的方法,称为基于集团的CMC(G-CMC)和编码CMC(C-CMC),利用工人的冗余计算方法,以便根据工人的部分产出在服务器上估计全球后部样品。模拟结果显示,C-CMC可能超过G-C工人的优数,而对于小数的G-C工人则一般为G-C工人的优数。

0
下载
关闭预览

相关内容

【2022新书】高效深度学习,Efficient Deep Learning Book
专知会员服务
126+阅读 · 2022年4月21日
100+篇《自监督学习(Self-Supervised Learning)》论文最新合集
专知会员服务
167+阅读 · 2020年3月18日
AIART 2022 Call for Papers
CCF多媒体专委会
1+阅读 · 2022年2月13日
【ICIG2021】Check out the hot new trailer of ICIG2021 Symposium8
中国图象图形学学会CSIG
0+阅读 · 2021年11月16日
【ICIG2021】Check out the hot new trailer of ICIG2021 Symposium6
中国图象图形学学会CSIG
2+阅读 · 2021年11月12日
【ICIG2021】Check out the hot new trailer of ICIG2021 Symposium3
中国图象图形学学会CSIG
0+阅读 · 2021年11月9日
【ICIG2021】Check out the hot new trailer of ICIG2021 Symposium2
中国图象图形学学会CSIG
0+阅读 · 2021年11月8日
【ICIG2021】Check out the hot new trailer of ICIG2021 Symposium1
中国图象图形学学会CSIG
0+阅读 · 2021年11月3日
Hierarchically Structured Meta-learning
CreateAMind
27+阅读 · 2019年5月22日
Transferring Knowledge across Learning Processes
CreateAMind
29+阅读 · 2019年5月18日
Unsupervised Learning via Meta-Learning
CreateAMind
43+阅读 · 2019年1月3日
A Technical Overview of AI & ML in 2018 & Trends for 2019
待字闺中
18+阅读 · 2018年12月24日
国家自然科学基金
1+阅读 · 2015年12月31日
国家自然科学基金
0+阅读 · 2014年12月31日
国家自然科学基金
1+阅读 · 2013年12月31日
国家自然科学基金
3+阅读 · 2013年12月31日
国家自然科学基金
0+阅读 · 2012年12月31日
国家自然科学基金
0+阅读 · 2012年12月31日
国家自然科学基金
0+阅读 · 2011年12月31日
国家自然科学基金
0+阅读 · 2008年12月31日
Arxiv
0+阅读 · 2022年10月17日
Arxiv
14+阅读 · 2022年5月6日
Arxiv
45+阅读 · 2019年12月20日
VIP会员
相关资讯
AIART 2022 Call for Papers
CCF多媒体专委会
1+阅读 · 2022年2月13日
【ICIG2021】Check out the hot new trailer of ICIG2021 Symposium8
中国图象图形学学会CSIG
0+阅读 · 2021年11月16日
【ICIG2021】Check out the hot new trailer of ICIG2021 Symposium6
中国图象图形学学会CSIG
2+阅读 · 2021年11月12日
【ICIG2021】Check out the hot new trailer of ICIG2021 Symposium3
中国图象图形学学会CSIG
0+阅读 · 2021年11月9日
【ICIG2021】Check out the hot new trailer of ICIG2021 Symposium2
中国图象图形学学会CSIG
0+阅读 · 2021年11月8日
【ICIG2021】Check out the hot new trailer of ICIG2021 Symposium1
中国图象图形学学会CSIG
0+阅读 · 2021年11月3日
Hierarchically Structured Meta-learning
CreateAMind
27+阅读 · 2019年5月22日
Transferring Knowledge across Learning Processes
CreateAMind
29+阅读 · 2019年5月18日
Unsupervised Learning via Meta-Learning
CreateAMind
43+阅读 · 2019年1月3日
A Technical Overview of AI & ML in 2018 & Trends for 2019
待字闺中
18+阅读 · 2018年12月24日
相关基金
国家自然科学基金
1+阅读 · 2015年12月31日
国家自然科学基金
0+阅读 · 2014年12月31日
国家自然科学基金
1+阅读 · 2013年12月31日
国家自然科学基金
3+阅读 · 2013年12月31日
国家自然科学基金
0+阅读 · 2012年12月31日
国家自然科学基金
0+阅读 · 2012年12月31日
国家自然科学基金
0+阅读 · 2011年12月31日
国家自然科学基金
0+阅读 · 2008年12月31日
Top
微信扫码咨询专知VIP会员