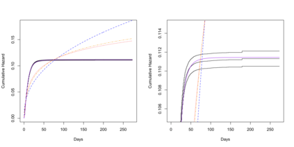
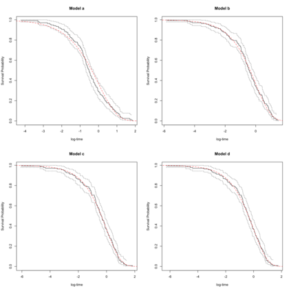
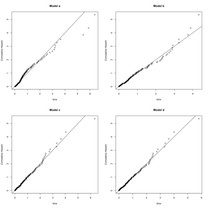
Regression models in survival analysis based on homogeneous and inhomogeneous phase-type distributions are proposed. The intensity function in this setting plays the role of the hazard function, having the additional benefit of being interpreted in terms of a hidden Markov structure. For unidimensional intensity matrices, we recover the proportional hazards and accelerated failure time models, among others. However, when considering higher dimensions, the proposed methods are only asymptotically equivalent to their classical counterparts and enjoy greater flexibility in the body of the distribution. For their estimation, the latent path representation of inhomogeneous Markov models is exploited. Consequently, an adapted EM algorithm is provided for which the likelihood increases at each iteration. Several examples of practical significance and relevant extensions are examined. The practical feasibility of the models is illustrated on simulated and real-world datasets.


翻译:在基于同质和不相容相位分布的求存分析中,提出了递减模型;在这一环境中,强度功能发挥危险功能的作用,具有从隐藏的Markov结构解释的额外好处;对于单维强度矩阵等,我们回收了成比例的危害和加速故障时间模型;然而,在考虑更高尺寸时,拟议方法仅与其传统的对等方无异,在分布主体上具有更大的灵活性;在估计时,利用不相容的Markov模型的潜在路径表示;因此,提供了经调整的EM算法,每次迭代都增加了这种算法的可能性;研究了一些具有实际意义和相关扩展的实例;模型的实际可行性在模拟和现实世界数据集中作了说明。

0
下载
关闭预览

相关内容

ACM/IEEE第23届模型驱动工程语言和系统国际会议,是模型驱动软件和系统工程的首要会议系列,由ACM-SIGSOFT和IEEE-TCSE支持组织。自1998年以来,模型涵盖了建模的各个方面,从语言和方法到工具和应用程序。模特的参加者来自不同的背景,包括研究人员、学者、工程师和工业专业人士。MODELS 2019是一个论坛,参与者可以围绕建模和模型驱动的软件和系统交流前沿研究成果和创新实践经验。今年的版本将为建模社区提供进一步推进建模基础的机会,并在网络物理系统、嵌入式系统、社会技术系统、云计算、大数据、机器学习、安全、开源等新兴领域提出建模的创新应用以及可持续性。 官网链接:http://www.modelsconference.org/
专知会员服务
52+阅读 · 2021年8月8日
最新《自监督表示学习》报告,70页ppt
专知会员服务
86+阅读 · 2020年12月22日
【干货书】机器学习速查手册,135页pdf
专知会员服务
127+阅读 · 2020年11月20日
因果图,Causal Graphs,52页ppt
专知会员服务
253+阅读 · 2020年4月19日
【干货书】真实机器学习,264页pdf,Real-World Machine Learning
强化学习最新教程,17页pdf
专知会员服务
182+阅读 · 2019年10月11日
机器学习入门的经验与建议
专知会员服务
94+阅读 · 2019年10月10日
已删除
将门创投
3+阅读 · 2019年5月6日
Unsupervised Learning via Meta-Learning
CreateAMind
43+阅读 · 2019年1月3日
A Technical Overview of AI & ML in 2018 & Trends for 2019
待字闺中
18+阅读 · 2018年12月24日
Disentangled的假设的探讨
CreateAMind
9+阅读 · 2018年12月10日
Auto-Encoding GAN
CreateAMind
7+阅读 · 2017年8月4日
Arxiv
0+阅读 · 2021年10月27日
Topologically penalized regression on manifolds
Arxiv
0+阅读 · 2021年10月26日
Arxiv
0+阅读 · 2021年10月26日
VIP会员
相关VIP内容
专知会员服务
52+阅读 · 2021年8月8日
最新《自监督表示学习》报告,70页ppt
专知会员服务
86+阅读 · 2020年12月22日
【干货书】机器学习速查手册,135页pdf
专知会员服务
127+阅读 · 2020年11月20日
因果图,Causal Graphs,52页ppt
专知会员服务
253+阅读 · 2020年4月19日
【干货书】真实机器学习,264页pdf,Real-World Machine Learning
强化学习最新教程,17页pdf
专知会员服务
182+阅读 · 2019年10月11日
机器学习入门的经验与建议
专知会员服务
94+阅读 · 2019年10月10日
相关资讯
已删除
将门创投
3+阅读 · 2019年5月6日
Unsupervised Learning via Meta-Learning
CreateAMind
43+阅读 · 2019年1月3日
A Technical Overview of AI & ML in 2018 & Trends for 2019
待字闺中
18+阅读 · 2018年12月24日
Disentangled的假设的探讨
CreateAMind
9+阅读 · 2018年12月10日
Auto-Encoding GAN
CreateAMind
7+阅读 · 2017年8月4日
Top
微信扫码咨询专知VIP会员