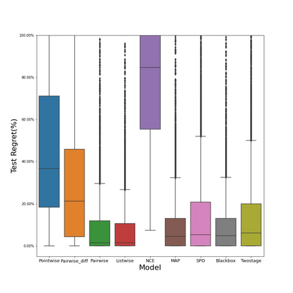
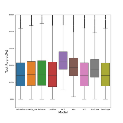
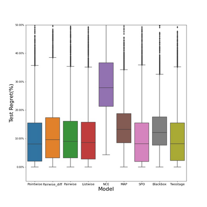
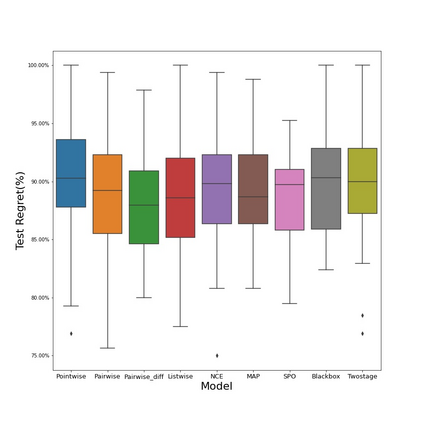
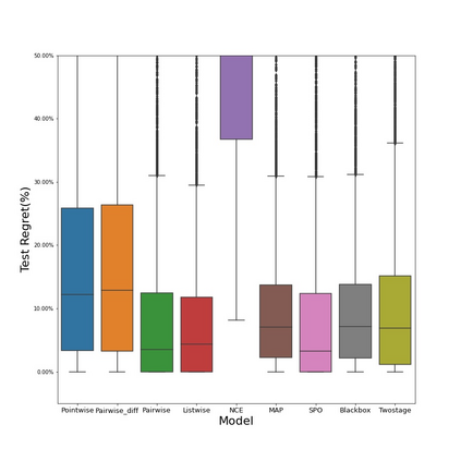
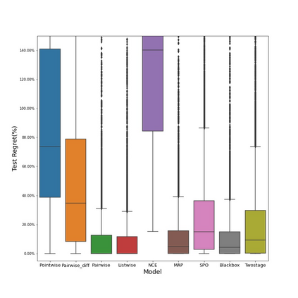
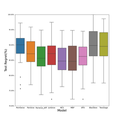
In the last years decision-focused learning framework, also known as predict-and-optimize, have received increasing attention. In this setting, the predictions of a machine learning model are used as estimated cost coefficients in the objective function of a discrete combinatorial optimization problem for decision making. Decision-focused learning proposes to train the ML models, often neural network models, by directly optimizing the quality of decisions made by the optimization solvers. Based on a recent work that proposed a noise contrastive estimation loss over a subset of the solution space, we observe that decision-focused learning can more generally be seen as a learning-to-rank problem, where the goal is to learn an objective function that ranks the feasible points correctly. This observation is independent of the optimization method used and of the form of the objective function. We develop pointwise, pairwise and listwise ranking loss functions, which can be differentiated in closed form given a subset of solutions. We empirically investigate the quality of our generic methods compared to existing decision-focused learning approaches with competitive results. Furthermore, controlling the subset of solutions allows controlling the runtime considerably, with limited effect on regret.


翻译:在过去几年中,注重决策的学习框架,又称预测和优化,受到越来越多的关注。在这一背景下,对机械学习模式的预测被作为决策中分离组合优化问题的客观功能中的成本估计系数。注重决策的学习建议通过直接优化优化优化优化解决方案解决者所作决定的质量,来培训ML模型,往往是神经网络模型。根据最近的一项工作,即提议对一组解决方案空间进行噪音对比性估计损失,我们发现,注重决策的学习可被更普遍地视为一个学习到排序的问题,其目标是学习正确排列可行点的客观功能。这一观察独立于所使用的优化方法和客观功能的形式。我们开发了精准、对称和列表式的损失排序功能,这些功能可以以封闭的形式进行区分,给一组解决方案带来一定的解决方案。我们实证地调查了我们通用方法的质量,与具有竞争性结果的现有注重决策的学习方法相比较。此外,控制解决方案的子集可以在很大程度上控制运行时间,对遗憾影响有限。

0
下载
关闭预览

相关内容

不可错过!《机器学习100讲》课程,UBC Mark Schmidt讲授
专知会员服务
76+阅读 · 2022年6月28日
100+篇《自监督学习(Self-Supervised Learning)》论文最新合集
专知会员服务
167+阅读 · 2020年3月18日
Keras François Chollet 《Deep Learning with Python 》, 386页pdf
专知会员服务
161+阅读 · 2019年10月12日
[综述]深度学习下的场景文本检测与识别
专知会员服务
78+阅读 · 2019年10月10日
VCIP 2022 Call for Demos
CCF多媒体专委会
1+阅读 · 2022年6月6日
AIART 2022 Call for Papers
CCF多媒体专委会
1+阅读 · 2022年2月13日
【ICIG2021】Check out the hot new trailer of ICIG2021 Symposium2
中国图象图形学学会CSIG
0+阅读 · 2021年11月8日
【ICIG2021】Latest News & Announcements of the Plenary Talk2
中国图象图形学学会CSIG
0+阅读 · 2021年11月2日
【ICIG2021】Latest News & Announcements of the Plenary Talk1
中国图象图形学学会CSIG
0+阅读 · 2021年11月1日
Hierarchically Structured Meta-learning
CreateAMind
27+阅读 · 2019年5月22日
Transferring Knowledge across Learning Processes
CreateAMind
29+阅读 · 2019年5月18日
Unsupervised Learning via Meta-Learning
CreateAMind
43+阅读 · 2019年1月3日
A Technical Overview of AI & ML in 2018 & Trends for 2019
待字闺中
18+阅读 · 2018年12月24日
国家自然科学基金
0+阅读 · 2014年12月31日
国家自然科学基金
1+阅读 · 2014年12月31日
国家自然科学基金
0+阅读 · 2013年12月31日
国家自然科学基金
0+阅读 · 2013年12月31日
国家自然科学基金
0+阅读 · 2012年12月31日
国家自然科学基金
0+阅读 · 2011年12月31日
国家自然科学基金
1+阅读 · 2011年12月31日
国家自然科学基金
0+阅读 · 2009年12月31日
国家自然科学基金
0+阅读 · 2008年12月31日
Arxiv
0+阅读 · 2022年8月4日
Arxiv
15+阅读 · 2020年12月17日
Adversarial Mutual Information for Text Generation
Arxiv
13+阅读 · 2020年6月30日
Arxiv
19+阅读 · 2018年10月25日
VIP会员
相关资讯
VCIP 2022 Call for Demos
CCF多媒体专委会
1+阅读 · 2022年6月6日
AIART 2022 Call for Papers
CCF多媒体专委会
1+阅读 · 2022年2月13日
【ICIG2021】Check out the hot new trailer of ICIG2021 Symposium2
中国图象图形学学会CSIG
0+阅读 · 2021年11月8日
【ICIG2021】Latest News & Announcements of the Plenary Talk2
中国图象图形学学会CSIG
0+阅读 · 2021年11月2日
【ICIG2021】Latest News & Announcements of the Plenary Talk1
中国图象图形学学会CSIG
0+阅读 · 2021年11月1日
Hierarchically Structured Meta-learning
CreateAMind
27+阅读 · 2019年5月22日
Transferring Knowledge across Learning Processes
CreateAMind
29+阅读 · 2019年5月18日
Unsupervised Learning via Meta-Learning
CreateAMind
43+阅读 · 2019年1月3日
A Technical Overview of AI & ML in 2018 & Trends for 2019
待字闺中
18+阅读 · 2018年12月24日
相关基金
国家自然科学基金
0+阅读 · 2014年12月31日
国家自然科学基金
1+阅读 · 2014年12月31日
国家自然科学基金
0+阅读 · 2013年12月31日
国家自然科学基金
0+阅读 · 2013年12月31日
国家自然科学基金
0+阅读 · 2012年12月31日
国家自然科学基金
0+阅读 · 2011年12月31日
国家自然科学基金
1+阅读 · 2011年12月31日
国家自然科学基金
0+阅读 · 2009年12月31日
国家自然科学基金
0+阅读 · 2008年12月31日
Top
微信扫码咨询专知VIP会员