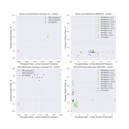
Throughput is a main performance objective in communication networks. This paper considers a fundamental maximum throughput routing problem -- the all-or-nothing multicommodity flow (ANF) problem -- in arbitrary directed graphs and in the practically relevant but challenging setting where demands can be (much) larger than the edge capacities. Hence, in addition to assigning requests to valid flows for each routed commodity, an admission control mechanism is required which prevents overloading the network when routing commodities. We make several contributions. On the theoretical side we obtain substantially improved bi-criteria approximation algorithms for this NP-hard problem. We present two non-trivial linear programming relaxations and show how to convert their fractional solutions into integer solutions via randomized rounding. One is an exponential-size formulation (solvable in polynomial time using a separation oracle) that considers a ``packing'' view and allows a more flexible approach, while the other is a generalization of the compact LP formulation of Liu et al. (INFOCOM'19) that allows for easy solving via standard LP solvers. We obtain a polynomial-time randomized algorithm that yields an arbitrarily good approximation on the weighted throughput while violating the edge capacity constraints by only a small multiplicative factor. We also describe a deterministic rounding algorithm by derandomization, using the method of pessimistic estimators. We complement our theoretical results with a proof of concept empirical evaluation.


翻译:传输管道是通信网络的一个主要绩效目标。本文件认为,在任意定向图表和实际相关但具有挑战性的环境下,需求可能(大大)大于边际能力,因此,除了分配对每种路线商品有效流动的要求外,还需要一种准入控制机制,防止网络在路由商品时超负荷。我们作出了一些贡献。在理论方面,我们为这一NP-硬性问题获得了大大改进的双标准近比算法。我们提出了两个非三角线性线性编程宽松,并展示了如何通过随机四舍五入将它们的分数解决方案转换成整形解决方案。一个是指数规模的配方(在混合时间里,使用分离或骨架可以解析),考虑“包装”观点,允许采取更灵活的方法,而另一个则是对LP-L-L-L-OL 等的缩略图的缩略式缩略图进行概括化。(INFOCOM19)通过标准的LP解算器简单解决了问题。我们只能使用一种超标性线性线性线性编程概念,我们只能通过一个高端的任意性逻辑缩缩算法,通过高端缩缩缩算法来描述我们的方法,通过一个扭曲的压压压压压低的算法。

0
下载
关闭预览

相关内容

专知会员服务
51+阅读 · 2020年12月14日
【哈佛大学商学院课程Fall 2019】机器学习可解释性
专知会员服务
105+阅读 · 2019年10月9日
MIT新书《强化学习与最优控制》
专知会员服务
281+阅读 · 2019年10月9日
机器学习在材料科学中的应用综述,21页pdf
专知会员服务
50+阅读 · 2019年9月24日
异常检测论文大列表:方法、应用、综述
专知
126+阅读 · 2019年7月15日
Unsupervised Learning via Meta-Learning
CreateAMind
43+阅读 · 2019年1月3日
meta learning 17年:MAML SNAIL
CreateAMind
11+阅读 · 2019年1月2日
disentangled-representation-papers
CreateAMind
26+阅读 · 2018年9月12日
Hierarchical Disentangled Representations
CreateAMind
4+阅读 · 2018年4月15日
条件GAN重大改进!cGANs with Projection Discriminator
CreateAMind
8+阅读 · 2018年2月7日
已删除
将门创投
5+阅读 · 2018年1月24日
计算机视觉近一年进展综述
机器学习研究会
9+阅读 · 2017年11月25日
【论文】变分推断(Variational inference)的总结
机器学习研究会
39+阅读 · 2017年11月16日
【论文】图上的表示学习综述
机器学习研究会
15+阅读 · 2017年9月24日
Arxiv
0+阅读 · 2021年11月8日
Arxiv
0+阅读 · 2021年11月8日
Arxiv
0+阅读 · 2021年11月6日
Arxiv
0+阅读 · 2021年11月5日
Arxiv
3+阅读 · 2018年2月24日
VIP会员
相关资讯
异常检测论文大列表:方法、应用、综述
专知
126+阅读 · 2019年7月15日
Unsupervised Learning via Meta-Learning
CreateAMind
43+阅读 · 2019年1月3日
meta learning 17年:MAML SNAIL
CreateAMind
11+阅读 · 2019年1月2日
disentangled-representation-papers
CreateAMind
26+阅读 · 2018年9月12日
Hierarchical Disentangled Representations
CreateAMind
4+阅读 · 2018年4月15日
条件GAN重大改进!cGANs with Projection Discriminator
CreateAMind
8+阅读 · 2018年2月7日
已删除
将门创投
5+阅读 · 2018年1月24日
计算机视觉近一年进展综述
机器学习研究会
9+阅读 · 2017年11月25日
【论文】变分推断(Variational inference)的总结
机器学习研究会
39+阅读 · 2017年11月16日
【论文】图上的表示学习综述
机器学习研究会
15+阅读 · 2017年9月24日
相关论文
Arxiv
0+阅读 · 2021年11月8日
Arxiv
0+阅读 · 2021年11月8日
Arxiv
0+阅读 · 2021年11月6日
Arxiv
0+阅读 · 2021年11月5日
Arxiv
3+阅读 · 2018年2月24日
Top
微信扫码咨询专知VIP会员