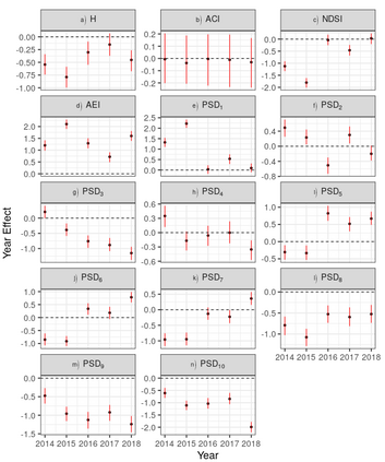
Assessing the effects of anthropogenic disturbances on wildlife is a necessary conservation task. The soundscape is a critical habitat component for acoustically communicating organisms, but the use of the soundscape as a tool for assessing disturbance impacts has been relatively unexplored until recently. Here we present a broad modeling framework for assessing disturbance impacts on soundscapes, which we apply to quantify the influence of a shelterwood logging on soundscapes in northern Michigan. Our modeling approach can be broadly applied to assess anthropogenic disturbance impacts on soundscapes. The approach accommodates inherent differences in control and treatment sites to improve inference about treatment effects, while also accounting for extraneous variables (e.g., rain) that influence acoustic indices. Recordings were obtained at 13 sites before and after a shelterwood logging. Four sites were in the logging region and nine sites served as control recordings outside the logging region. We quantify the soundscapes using common acoustic indices (Normalized Difference Soundscape Index (NDSI), Acoustic Entropy (H), Acoustic Complexity Index (ACI), Acoustic Evenness Index (AEI), Welch Power Spectral Density (PSD)) and build two hierarchical Bayesian models to quantify the changes in the soundscape over the study period. Our analysis reveals no long-lasting effects of the shelterwood logging on the soundscape diversity as measured by the NDSI, but analysis of H, AEI, and PSD suggest changes in the evenness of sounds across the frequency spectrum, indicating a potential shift in the avian species communicating in the soundscapes as a result of the logging. Acoustic recordings, in conjunction with this modeling framework, can deliver cost efficient assessment of disturbance impacts on the landscape and underlying biodiversity as represented through the soundscape.


翻译:评估人为扰动对野生生物的影响是一项必要的保护任务。 声景是声学交流有机体的关键生境组成部分, 但使用声景作为评估扰动影响的工具一直相对没有探索到最近。 我们在这里展示了一个广泛的模型框架, 用于评估对声景的扰动影响。 我们使用这个框架来量化棚林伐木对密歇根北部声景的影响。 我们的模型方法可以广泛用于评估人为扰动对声景的影响。 这种方法包含控制和处理场地的内在差异, 以改善对治疗效应的推断, 同时还要计算影响声学指数的超常变量( 如雨) 。 记录是在护林伐木之前和之后的13个地点取得的。 4个地点是伐木区以外的9个地点作为控制记录记录。 我们用共同的声景指数( 杂变变异声景指数( NDSI), Acoucicentic Enclority Inview 指数( ACI ), 也计算出影响声调平衡指数 (AENI ), Wech Pow Sprectal Speal Excial rescienceal resmal resmal resulational resmal resmal resmal resmal resulational resmal resmal resmal resmal resmal resmal ress resmal resmal resmal, resmal resmal,, resmal resmisal, resmisal resmal resmal resmal 。 我们。 我们根,,, 。 我们, 。 我们的声调 分析中, 。

0
下载
关闭预览

相关内容

先进的计算方法和相关技术正在改变工程师与信息基础架构进行交互的方式。明确的知识表示形式和新的推理技术不再是计算机科学的唯一领域。对于工程中的知识密集型任务,正在出现一种新的哲学和知识体系,称为工程信息学。高级工程信息学(Advanced Engineering Informatics)以“知识”和“工程应用”为重点,征求研究论文。官网地址:http://dblp.uni-trier.de/db/journals/aei/
知识图谱推理,50页ppt,Salesforce首席科学家Richard Socher
专知会员服务
111+阅读 · 2020年6月10日
因果图,Causal Graphs,52页ppt
专知会员服务
253+阅读 · 2020年4月19日
Diganta Misra等人提出新激活函数Mish,在一些任务上超越RuLU
专知会员服务
15+阅读 · 2019年10月15日
[综述]深度学习下的场景文本检测与识别
专知会员服务
78+阅读 · 2019年10月10日
Hierarchically Structured Meta-learning
CreateAMind
27+阅读 · 2019年5月22日
ICLR2019最佳论文出炉
专知
12+阅读 · 2019年5月6日
IEEE | DSC 2019诚邀稿件 (EI检索)
Call4Papers
10+阅读 · 2019年2月25日
A Technical Overview of AI & ML in 2018 & Trends for 2019
待字闺中
18+阅读 · 2018年12月24日
Disentangled的假设的探讨
CreateAMind
9+阅读 · 2018年12月10日
gan生成图像at 1024² 的 代码 论文
CreateAMind
4+阅读 · 2017年10月31日
Adversarial Variational Bayes: Unifying VAE and GAN 代码
CreateAMind
7+阅读 · 2017年10月4日
Auto-Encoding GAN
CreateAMind
7+阅读 · 2017年8月4日
【今日新增】IEEE Trans.专刊截稿信息8条
Call4Papers
7+阅读 · 2017年6月29日
Seeing What a GAN Cannot Generate
Arxiv
8+阅读 · 2019年10月24日
Arxiv
19+阅读 · 2019年4月5日
Arxiv
5+阅读 · 2018年5月1日
VIP会员
相关资讯
Hierarchically Structured Meta-learning
CreateAMind
27+阅读 · 2019年5月22日
ICLR2019最佳论文出炉
专知
12+阅读 · 2019年5月6日
IEEE | DSC 2019诚邀稿件 (EI检索)
Call4Papers
10+阅读 · 2019年2月25日
A Technical Overview of AI & ML in 2018 & Trends for 2019
待字闺中
18+阅读 · 2018年12月24日
Disentangled的假设的探讨
CreateAMind
9+阅读 · 2018年12月10日
gan生成图像at 1024² 的 代码 论文
CreateAMind
4+阅读 · 2017年10月31日
Adversarial Variational Bayes: Unifying VAE and GAN 代码
CreateAMind
7+阅读 · 2017年10月4日
Auto-Encoding GAN
CreateAMind
7+阅读 · 2017年8月4日
【今日新增】IEEE Trans.专刊截稿信息8条
Call4Papers
7+阅读 · 2017年6月29日
Top
微信扫码咨询专知VIP会员