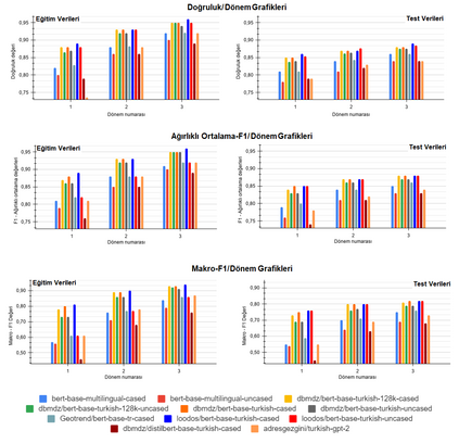
The problem of categorizing short speech sentences according to their semantic features with high accuracy is a subject studied in natural language processing. In this study, a data set created with samples classified in 46 different categories was used. Examples consist of sentences taken from chat conversations between a company's customer representatives and the company's website visitors. The primary purpose is to automatically tag questions and requests from visitors in the most accurate way for 46 predetermined categories for use in a chat application to generate meaningful answers to the questions asked by the website visitors. For this, different BERT models and one GPT-2 model, pre-trained in Turkish, were preferred. The classification performances of the relevant models were analyzed in detail and reported accordingly.


翻译:在自然语言处理过程中研究的一个课题是按照语义特征对短话进行精准分类的问题,在这项研究中,采用了按46个不同类别分类的样本制作的数据集,例如,公司客户代表和公司网站访问者之间的聊天交谈中作出的判决,主要目的是用最准确的方式自动标记访问者的问题和要求,46个预先确定的类别,以便用于聊天应用程序,对网站访问者提出的问题作出有意义的答复,为此,选择了不同的BERT模型和一个土耳其语预先培训的GPT-2模型,对有关模型的分类表现进行了详细分析,并据此作了报告。

1
下载
关闭预览

相关内容

ACM/IEEE第23届模型驱动工程语言和系统国际会议,是模型驱动软件和系统工程的首要会议系列,由ACM-SIGSOFT和IEEE-TCSE支持组织。自1998年以来,模型涵盖了建模的各个方面,从语言和方法到工具和应用程序。模特的参加者来自不同的背景,包括研究人员、学者、工程师和工业专业人士。MODELS 2019是一个论坛,参与者可以围绕建模和模型驱动的软件和系统交流前沿研究成果和创新实践经验。今年的版本将为建模社区提供进一步推进建模基础的机会,并在网络物理系统、嵌入式系统、社会技术系统、云计算、大数据、机器学习、安全、开源等新兴领域提出建模的创新应用以及可持续性。 官网链接:http://www.modelsconference.org/
【经典书】模式识别导论,561页pdf
专知会员服务
84+阅读 · 2021年6月30日
专知会员服务
56+阅读 · 2021年5月10日
专知会员服务
124+阅读 · 2020年9月8日
[综述]基于深度学习的开放领域对话系统研究综述
专知会员服务
80+阅读 · 2019年10月12日
Keras François Chollet 《Deep Learning with Python 》, 386页pdf
专知会员服务
161+阅读 · 2019年10月12日
RoBERTa中文预训练模型:RoBERTa for Chinese
PaperWeekly
57+阅读 · 2019年9月16日
NLP - 基于 BERT 的中文命名实体识别(NER)
AINLP
466+阅读 · 2019年2月10日
自然语言处理常见数据集、论文最全整理分享
深度学习与NLP
11+阅读 · 2019年1月26日
TCN v2 + 3Dconv 运动信息
CreateAMind
4+阅读 · 2019年1月8日
A Technical Overview of AI & ML in 2018 & Trends for 2019
待字闺中
18+阅读 · 2018年12月24日
disentangled-representation-papers
CreateAMind
26+阅读 · 2018年9月12日
【推荐】ResNet, AlexNet, VGG, Inception:各种卷积网络架构的理解
机器学习研究会
20+阅读 · 2017年12月17日
【推荐】深度学习时序处理文献列表
机器学习研究会
7+阅读 · 2017年11月29日
Arxiv
0+阅读 · 2021年7月27日
Arxiv
3+阅读 · 2019年11月28日
Arxiv
7+阅读 · 2019年10月6日
Neural Approaches to Conversational AI
Arxiv
8+阅读 · 2018年12月13日
VIP会员
相关资讯
RoBERTa中文预训练模型:RoBERTa for Chinese
PaperWeekly
57+阅读 · 2019年9月16日
NLP - 基于 BERT 的中文命名实体识别(NER)
AINLP
466+阅读 · 2019年2月10日
自然语言处理常见数据集、论文最全整理分享
深度学习与NLP
11+阅读 · 2019年1月26日
TCN v2 + 3Dconv 运动信息
CreateAMind
4+阅读 · 2019年1月8日
A Technical Overview of AI & ML in 2018 & Trends for 2019
待字闺中
18+阅读 · 2018年12月24日
disentangled-representation-papers
CreateAMind
26+阅读 · 2018年9月12日
【推荐】ResNet, AlexNet, VGG, Inception:各种卷积网络架构的理解
机器学习研究会
20+阅读 · 2017年12月17日
【推荐】深度学习时序处理文献列表
机器学习研究会
7+阅读 · 2017年11月29日
Top
微信扫码咨询专知VIP会员