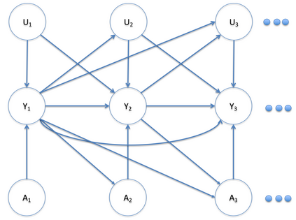
The case-crossover design (Maclure, 1991) is widely used in epidemiology and other fields to study causal effects of transient treatments on acute outcomes. However, its validity and causal interpretation have only been justified under informal conditions. Here, we place the design in a formal counterfactual framework for the first time. Doing so helps to clarify its assumptions and interpretation. In particular, when the treatment effect is non-null, we identify a previously unnoticed bias arising from common causes of the outcome at different person-times. We analytically characterize the direction and size of this bias and demonstrate its potential importance with a simulation. We also use our derivation of the limit of the case-crossover estimator to analyze its sensitivity to treatment effect heterogeneity, a violation of one of the informal criteria for validity. The upshot of this work for practitioners is that, while the case-crossover design can be useful for testing the causal null hypothesis in the presence of baseline confounders, extra caution is warranted when using the case-crossover design for point estimation of causal effects.


翻译:跨案设计(Maclure,1991年)在流行病学和其他领域被广泛使用,以研究转基因治疗对急性结果的因果关系;然而,其有效性和因果解释只在非正式条件下才有正当理由;在这里,我们首次将设计置于正式的反事实框架中;这样做有助于澄清其假设和解释;特别是,当治疗效果是非null时,我们发现由于不同人时的结果的共同原因而产生一种先前忽视的偏差;我们分析这种偏差的方向和大小,并通过模拟来表明其潜在重要性;我们还利用对转基因估计的推断来分析其对治疗效果异质的敏感性,这是对有效性非正式标准之一的违反;对从业者来说,这项工作的结果是,虽然转基因设计可以有助于检验存在基线构造者时的因果关系假设,但在使用转基因设计来估计因果关系时,必须格外谨慎。

0
下载
关闭预览

相关内容

《计算机信息》杂志发表高质量的论文,扩大了运筹学和计算的范围,寻求有关理论、方法、实验、系统和应用方面的原创研究论文、新颖的调查和教程论文,以及描述新的和有用的软件工具的论文。官网链接:https://pubsonline.informs.org/journal/ijoc
【PAISS 2021 教程】概率散度与生成式模型,92页ppt
专知会员服务
34+阅读 · 2021年11月30日
因果推断,Causal Inference:The Mixtape
专知会员服务
109+阅读 · 2021年8月27日
专知会员服务
52+阅读 · 2021年8月8日
专知会员服务
26+阅读 · 2021年4月2日
神经常微分方程教程,50页ppt,A brief tutorial on Neural ODEs
专知会员服务
74+阅读 · 2020年8月2日
Linux导论,Introduction to Linux,96页ppt
专知会员服务
82+阅读 · 2020年7月26日
因果图,Causal Graphs,52页ppt
专知会员服务
253+阅读 · 2020年4月19日
【哈佛大学商学院课程Fall 2019】机器学习可解释性
专知会员服务
105+阅读 · 2019年10月9日
最新BERT相关论文清单,BERT-related Papers
专知会员服务
53+阅读 · 2019年9月29日
Transferring Knowledge across Learning Processes
CreateAMind
29+阅读 · 2019年5月18日
学术会议 | 知识图谱顶会 ISWC 征稿:Poster/Demo
开放知识图谱
5+阅读 · 2019年4月16日
别说还不懂依存句法分析
人工智能头条
23+阅读 · 2019年4月8日
Call for Participation: Shared Tasks in NLPCC 2019
中国计算机学会
5+阅读 · 2019年3月22日
meta learning 17年:MAML SNAIL
CreateAMind
11+阅读 · 2019年1月2日
A Technical Overview of AI & ML in 2018 & Trends for 2019
待字闺中
18+阅读 · 2018年12月24日
Disentangled的假设的探讨
CreateAMind
9+阅读 · 2018年12月10日
disentangled-representation-papers
CreateAMind
26+阅读 · 2018年9月12日
Hierarchical Disentangled Representations
CreateAMind
4+阅读 · 2018年4月15日
【学习】Hierarchical Softmax
机器学习研究会
4+阅读 · 2017年8月6日
Arxiv
0+阅读 · 2022年1月22日
Arxiv
7+阅读 · 2021年10月12日
Arxiv
15+阅读 · 2020年12月17日
Meta Learning for Causal Direction
Arxiv
5+阅读 · 2020年7月6日
Arxiv
112+阅读 · 2020年2月5日
Revealing the Dark Secrets of BERT
Arxiv
4+阅读 · 2019年9月11日
VIP会员
相关VIP内容
【PAISS 2021 教程】概率散度与生成式模型,92页ppt
专知会员服务
34+阅读 · 2021年11月30日
因果推断,Causal Inference:The Mixtape
专知会员服务
109+阅读 · 2021年8月27日
专知会员服务
52+阅读 · 2021年8月8日
专知会员服务
26+阅读 · 2021年4月2日
神经常微分方程教程,50页ppt,A brief tutorial on Neural ODEs
专知会员服务
74+阅读 · 2020年8月2日
Linux导论,Introduction to Linux,96页ppt
专知会员服务
82+阅读 · 2020年7月26日
因果图,Causal Graphs,52页ppt
专知会员服务
253+阅读 · 2020年4月19日
【哈佛大学商学院课程Fall 2019】机器学习可解释性
专知会员服务
105+阅读 · 2019年10月9日
最新BERT相关论文清单,BERT-related Papers
专知会员服务
53+阅读 · 2019年9月29日
相关资讯
Transferring Knowledge across Learning Processes
CreateAMind
29+阅读 · 2019年5月18日
学术会议 | 知识图谱顶会 ISWC 征稿:Poster/Demo
开放知识图谱
5+阅读 · 2019年4月16日
别说还不懂依存句法分析
人工智能头条
23+阅读 · 2019年4月8日
Call for Participation: Shared Tasks in NLPCC 2019
中国计算机学会
5+阅读 · 2019年3月22日
meta learning 17年:MAML SNAIL
CreateAMind
11+阅读 · 2019年1月2日
A Technical Overview of AI & ML in 2018 & Trends for 2019
待字闺中
18+阅读 · 2018年12月24日
Disentangled的假设的探讨
CreateAMind
9+阅读 · 2018年12月10日
disentangled-representation-papers
CreateAMind
26+阅读 · 2018年9月12日
Hierarchical Disentangled Representations
CreateAMind
4+阅读 · 2018年4月15日
【学习】Hierarchical Softmax
机器学习研究会
4+阅读 · 2017年8月6日
Top
微信扫码咨询专知VIP会员