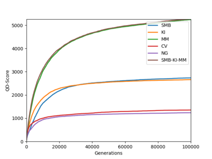
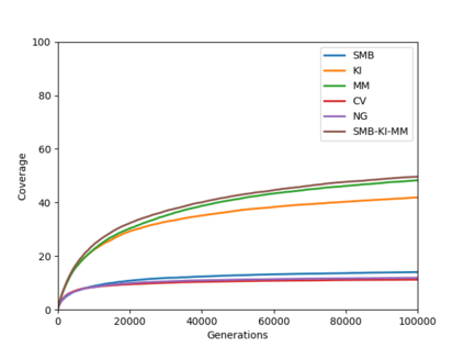
Several works have demonstrated the use of variational autoencoders (VAEs) for generating levels in the style of existing games and blending levels across different games. Further, quality-diversity (QD) algorithms have also become popular for generating varied game content by using evolution to explore a search space while focusing on both variety and quality. To reap the benefits of both these approaches, we present a level generation and game blending approach that combines the use of VAEs and QD algorithms. Specifically, we train VAEs on game levels and run the MAP-Elites QD algorithm using the learned latent space of the VAE as the search space. The latent space captures the properties of the games whose levels we want to generate and blend, while MAP-Elites searches this latent space to find a diverse set of levels optimizing a given objective such as playability. We test our method using models for 5 different platformer games as well as a blended domain spanning 3 of these games. We refer to using MAP-Elites for blending as Blend-Elites. Our results show that MAP-Elites in conjunction with VAEs enables the generation of a diverse set of playable levels not just for each individual game but also for the blended domain while illuminating game-specific regions of the blended latent space.


翻译:一些作品展示了使用变式自动计算器(VAEs)来在不同游戏中生成现有游戏风格和混合水平的水平。 此外,质量多样性算法也通过利用进化来探索搜索空间,同时关注多样性和质量,从而产生不同的游戏内容。为了获得这两种方法的好处,我们展示了一种将 VAEs 和 QD 算法相结合的生成和游戏混合方法。具体地说,我们在游戏级别上培训VAEs 并运行MAP-Elites QD 算法,使用VAE 的学习潜在空间作为搜索空间。潜在空间捕捉了我们希望生成和混合的游戏内容,同时,MAP-Elites搜索了这一潜在空间,以找到一套不同的水平来优化某个特定目标,如可玩性。我们测试了我们的方法,使用了5种不同的平台游戏和3种混合域的模型。我们提到使用MAP-Elite将MAP-Elite QD算法作为Blen-Elites的搜索空间。我们的结果显示,我们所选的游戏的每个游戏都让每个游戏的游戏都能够生成和Bledal-Elites。 我们的结果也让每个游戏的组合区域同时让每个游戏的游戏的游戏的游戏的游戏的游戏和Brelental-el-el-el-el-elet-el-lates

0
下载
关闭预览

相关内容

最新《生成式对抗网络》简介,25页ppt
专知会员服务
176+阅读 · 2020年6月28日
Fariz Darari简明《博弈论Game Theory》介绍,35页ppt
专知会员服务
112+阅读 · 2020年5月15日
强化学习最新教程,17页pdf
专知会员服务
182+阅读 · 2019年10月11日
GAN新书《生成式深度学习》,Generative Deep Learning,379页pdf
专知会员服务
208+阅读 · 2019年9月30日
已删除
将门创投
3+阅读 · 2019年6月12日
Hierarchically Structured Meta-learning
CreateAMind
27+阅读 · 2019年5月22日
逆强化学习-学习人先验的动机
CreateAMind
16+阅读 · 2019年1月18日
Unsupervised Learning via Meta-Learning
CreateAMind
43+阅读 · 2019年1月3日
A Technical Overview of AI & ML in 2018 & Trends for 2019
待字闺中
18+阅读 · 2018年12月24日
vae 相关论文 表示学习 1
CreateAMind
12+阅读 · 2018年9月6日
【论文】变分推断(Variational inference)的总结
机器学习研究会
39+阅读 · 2017年11月16日
Auto-Encoding GAN
CreateAMind
7+阅读 · 2017年8月4日
Generating Fact Checking Explanations
Arxiv
9+阅读 · 2020年4月13日
VIP会员
相关资讯
已删除
将门创投
3+阅读 · 2019年6月12日
Hierarchically Structured Meta-learning
CreateAMind
27+阅读 · 2019年5月22日
逆强化学习-学习人先验的动机
CreateAMind
16+阅读 · 2019年1月18日
Unsupervised Learning via Meta-Learning
CreateAMind
43+阅读 · 2019年1月3日
A Technical Overview of AI & ML in 2018 & Trends for 2019
待字闺中
18+阅读 · 2018年12月24日
vae 相关论文 表示学习 1
CreateAMind
12+阅读 · 2018年9月6日
【论文】变分推断(Variational inference)的总结
机器学习研究会
39+阅读 · 2017年11月16日
Auto-Encoding GAN
CreateAMind
7+阅读 · 2017年8月4日
Top
微信扫码咨询专知VIP会员