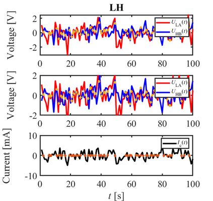
A secure key distribution (exchange) scheme is unconditionally secure if it is unbreakable against arbitrary technological improvements of computing power and/or any development of new algorithms. There are only two families of experimentally realized and tested unconditionally secure key distribution technologies: Quantum Key Distribution (QKD), the base of quantum cryptography, which utilizes quantum physical photonic features; and the Kirchhoff-Law-Johnson-Noise (KLJN) system that is based on classical statistical physics (fluctuation-dissipation theorem). The focus topic of this paper is the thermodynamical situation of the KLJN system. In all the original works, the proposed KLJN schemes required thermal equilibrium between the devices of the communicating parties to achieve perfect security. However, Vadai, et al, in (Nature) Science Reports 5 (2015) 13653 shows a modified scheme, where there is a non-zero thermal noise energy flow between the parties, yet the system seems to resist all the known attack types. We introduce a new attack type against their system. The new attack utilizes coincidence events between the line current and voltages. We show that there is non-zero information leak toward the Eavesdropper, even under idealized conditions. As soon as the thermal equilibrium is restored, the system becomes perfectly secure again. In conclusion, perfect unconditional security requires thermal equilibrium.


翻译:安全的关键分配(交换)计划如果对任意技术改进计算能力和(或)任何开发新算法来说是无法打破的,则安全的关键分配(交换)计划是无条件安全的。只有两个实验实现和测试过的关键分配技术家庭:量子加密基(QQKD)是利用量子物理光学特征的量子加密法基;基尔希霍夫-法律-约翰森-诺伊斯(KLJN)系统基于传统的统计物理学(结构化-分解理论),但该系统似乎抵制所有已知的攻击类型。本文的焦点主题是KLJN系统的热动力状况。在所有最初的工程中,拟议的KLJN计划需要通信方装置之间的热平衡以实现完美的安全。然而,Vadi, 等人,在(自然)科学报告5(2015) 13653 显示一个经过修改的计划,其中各方之间有非零热能流,但该系统似乎抵制所有已知的攻击类型。我们引入了一个新的攻击类型。我们用新的攻击系统。新的攻击利用当前和电路段之间的巧合事件,我们再次展示了同步状态下的安全状态。我们再次展示了安全状态。

0
下载
关闭预览

相关内容

《计算机信息》杂志发表高质量的论文,扩大了运筹学和计算的范围,寻求有关理论、方法、实验、系统和应用方面的原创研究论文、新颖的调查和教程论文,以及描述新的和有用的软件工具的论文。官网链接:https://pubsonline.informs.org/journal/ijoc
【干货书】机器学习速查手册,135页pdf
专知会员服务
127+阅读 · 2020年11月20日
Stabilizing Transformers for Reinforcement Learning
专知会员服务
60+阅读 · 2019年10月17日
强化学习最新教程,17页pdf
专知会员服务
182+阅读 · 2019年10月11日
机器学习入门的经验与建议
专知会员服务
94+阅读 · 2019年10月10日
最新BERT相关论文清单,BERT-related Papers
专知会员服务
53+阅读 · 2019年9月29日
CCF推荐 | 国际会议信息6条
Call4Papers
9+阅读 · 2019年8月13日
CCF推荐 | 国际会议信息8条
Call4Papers
9+阅读 · 2019年5月23日
CCF C类 | DSAA 2019 诚邀稿件
Call4Papers
6+阅读 · 2019年5月13日
计算机 | CCF推荐期刊专刊信息5条
Call4Papers
3+阅读 · 2019年4月10日
【TED】生命中的每一年的智慧
英语演讲视频每日一推
10+阅读 · 2019年1月29日
人工智能 | 国际会议信息10条
Call4Papers
5+阅读 · 2018年12月18日
计算机 | CCF推荐会议信息10条
Call4Papers
5+阅读 · 2018年10月18日
vae 相关论文 表示学习 1
CreateAMind
12+阅读 · 2018年9月6日
条件GAN重大改进!cGANs with Projection Discriminator
CreateAMind
8+阅读 · 2018年2月7日
Auto-Encoding GAN
CreateAMind
7+阅读 · 2017年8月4日
Arxiv
0+阅读 · 2021年7月15日
Computing Permanents on a Trellis
Arxiv
0+阅读 · 2021年7月15日
VIP会员
相关VIP内容
【干货书】机器学习速查手册,135页pdf
专知会员服务
127+阅读 · 2020年11月20日
Stabilizing Transformers for Reinforcement Learning
专知会员服务
60+阅读 · 2019年10月17日
强化学习最新教程,17页pdf
专知会员服务
182+阅读 · 2019年10月11日
机器学习入门的经验与建议
专知会员服务
94+阅读 · 2019年10月10日
最新BERT相关论文清单,BERT-related Papers
专知会员服务
53+阅读 · 2019年9月29日
相关资讯
CCF推荐 | 国际会议信息6条
Call4Papers
9+阅读 · 2019年8月13日
CCF推荐 | 国际会议信息8条
Call4Papers
9+阅读 · 2019年5月23日
CCF C类 | DSAA 2019 诚邀稿件
Call4Papers
6+阅读 · 2019年5月13日
计算机 | CCF推荐期刊专刊信息5条
Call4Papers
3+阅读 · 2019年4月10日
【TED】生命中的每一年的智慧
英语演讲视频每日一推
10+阅读 · 2019年1月29日
人工智能 | 国际会议信息10条
Call4Papers
5+阅读 · 2018年12月18日
计算机 | CCF推荐会议信息10条
Call4Papers
5+阅读 · 2018年10月18日
vae 相关论文 表示学习 1
CreateAMind
12+阅读 · 2018年9月6日
条件GAN重大改进!cGANs with Projection Discriminator
CreateAMind
8+阅读 · 2018年2月7日
Auto-Encoding GAN
CreateAMind
7+阅读 · 2017年8月4日
Top
微信扫码咨询专知VIP会员