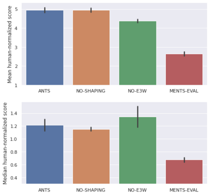
We present the Adaptive Entropy Tree Search (ANTS) algorithm, a planning method based on the Principle of Maximum Entropy. Importantly, we design ANTS so that it is a practical component of a planning-learning loop, outperforming state-of-the-art methods on the Atari benchmark. The key algorithmic novelty is entropy parameterization, which mitigates sensitivity to the temperature parameter - a bottleneck of the prior maximum entropy planning methods. To confirm our design choices, we perform a comprehensive suite of ablations in isolation from learning. Moreover, we theoretically show that ANTS enjoys exponential convergence in the softmax bandit setting.


翻译:我们提出了适应性英特罗比树搜索算法(ANTS),这是一种基于最大英特罗比原则的规划方法。重要的是,我们设计了ANTS,使之成为规划-学习循环的一个实用组成部分,优于阿塔里基准上最先进的方法。关键的算法新颖是酶参数化,这减轻了对温度参数的敏感度,这是先前最大英特罗比规划方法的一个瓶颈。为了确认我们的设计选择,我们从学习中分离出一套全面的推算。此外,我们理论上表明,ANTS在软式马克思土匪设置中具有指数趋同性。

0
下载
关闭预览

相关内容

Linux导论,Introduction to Linux,96页ppt
专知会员服务
82+阅读 · 2020年7月26日
Keras François Chollet 《Deep Learning with Python 》, 386页pdf
专知会员服务
161+阅读 · 2019年10月12日
Hierarchically Structured Meta-learning
CreateAMind
27+阅读 · 2019年5月22日
Transferring Knowledge across Learning Processes
CreateAMind
29+阅读 · 2019年5月18日
强化学习的Unsupervised Meta-Learning
CreateAMind
18+阅读 · 2019年1月7日
Unsupervised Learning via Meta-Learning
CreateAMind
43+阅读 · 2019年1月3日
meta learning 17年:MAML SNAIL
CreateAMind
11+阅读 · 2019年1月2日
A Technical Overview of AI & ML in 2018 & Trends for 2019
待字闺中
18+阅读 · 2018年12月24日
Hierarchical Imitation - Reinforcement Learning
CreateAMind
19+阅读 · 2018年5月25日
Hierarchical Disentangled Representations
CreateAMind
4+阅读 · 2018年4月15日
【学习】Hierarchical Softmax
机器学习研究会
4+阅读 · 2017年8月6日
Arxiv
4+阅读 · 2021年4月13日
Arxiv
7+阅读 · 2020年9月17日
A Modern Introduction to Online Learning
Arxiv
21+阅读 · 2019年12月31日
Arxiv
12+阅读 · 2019年3月14日
Arxiv
7+阅读 · 2018年12月26日
VIP会员
相关资讯
Hierarchically Structured Meta-learning
CreateAMind
27+阅读 · 2019年5月22日
Transferring Knowledge across Learning Processes
CreateAMind
29+阅读 · 2019年5月18日
强化学习的Unsupervised Meta-Learning
CreateAMind
18+阅读 · 2019年1月7日
Unsupervised Learning via Meta-Learning
CreateAMind
43+阅读 · 2019年1月3日
meta learning 17年:MAML SNAIL
CreateAMind
11+阅读 · 2019年1月2日
A Technical Overview of AI & ML in 2018 & Trends for 2019
待字闺中
18+阅读 · 2018年12月24日
Hierarchical Imitation - Reinforcement Learning
CreateAMind
19+阅读 · 2018年5月25日
Hierarchical Disentangled Representations
CreateAMind
4+阅读 · 2018年4月15日
【学习】Hierarchical Softmax
机器学习研究会
4+阅读 · 2017年8月6日
相关论文
Top
微信扫码咨询专知VIP会员