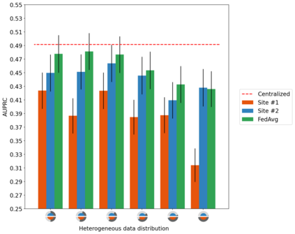
Background: Federated learning methods offer the possibility of training machine learning models on privacy-sensitive data sets, which cannot be easily shared. Multiple regulations pose strict requirements on the storage and usage of healthcare data, leading to data being in silos (i.e. locked-in at healthcare facilities). The application of federated algorithms on these datasets could accelerate disease diagnostic, drug development, as well as improve patient care. Methods: We present an extensive evaluation of the impact of different federation and differential privacy techniques when training models on the open-source MIMIC-III dataset. We analyze a set of parameters influencing a federated model performance, namely data distribution (homogeneous and heterogeneous), communication strategies (communication rounds vs. local training epochs), federation strategies (FedAvg vs. FedProx). Furthermore, we assess and compare two differential privacy (DP) techniques during model training: a stochastic gradient descent-based differential privacy algorithm (DP-SGD), and a sparse vector differential privacy technique (DP-SVT). Results: Our experiments show that extreme data distributions across sites (imbalance either in the number of patients or the positive label ratios between sites) lead to a deterioration of model performance when trained using the FedAvg strategy. This issue is resolved when using FedProx with the use of appropriate hyperparameter tuning. Furthermore, the results show that both differential privacy techniques can reach model performances similar to those of models trained without DP, however at the expense of a large quantifiable privacy leakage. Conclusions: We evaluate empirically the benefits of two federation strategies and propose optimal strategies for the choice of parameters when using differential privacy techniques.


翻译:联邦学习方法提供了在隐私敏感数据集方面培训机器学习模型的可能性,这些模型是不能轻易共享的; 多种条例对保健数据的储存和使用提出了严格的要求,对保健数据的储存和使用提出了严格的要求,导致数据处于筒仓状态(即在保健设施内锁定); 在这些数据集上应用联邦算法可以加速疾病诊断、药物开发以及改善病人护理; 方法: 我们广泛评价了不同联邦和不同隐私技术的影响,在开放源代码MIMIMIC-III数据集培训模型时,我们分析了影响联合式模型性能的一套参数,即数据分配(混合和混合的参数)、通信战略(通信回合与当地培训),联邦战略(FedAvg诉FedProx)。 此外,我们在模型培训中评估和比较了两种差异性隐私(DP)技术:基于血压梯度的梯度血统差异隐私权模型(DP-SGD),以及稀释病媒差异性能评估(DP-SVT) 。 结果:我们的实验表明,在不使用数据模型的极端数据分布在各站点(在经过培训的大型成本评估后,在使用经过精细化后,使用联邦的变变换的策略中,可以显示这些变换病人的成绩比率。

0
下载
关闭预览

相关内容

ACM/IEEE第23届模型驱动工程语言和系统国际会议,是模型驱动软件和系统工程的首要会议系列,由ACM-SIGSOFT和IEEE-TCSE支持组织。自1998年以来,模型涵盖了建模的各个方面,从语言和方法到工具和应用程序。模特的参加者来自不同的背景,包括研究人员、学者、工程师和工业专业人士。MODELS 2019是一个论坛,参与者可以围绕建模和模型驱动的软件和系统交流前沿研究成果和创新实践经验。今年的版本将为建模社区提供进一步推进建模基础的机会,并在网络物理系统、嵌入式系统、社会技术系统、云计算、大数据、机器学习、安全、开源等新兴领域提出建模的创新应用以及可持续性。 官网链接:http://www.modelsconference.org/
最新《联邦学习Federated Learning》报告,Federated Learning
专知会员服务
89+阅读 · 2020年12月2日
[综述]深度学习下的场景文本检测与识别
专知会员服务
78+阅读 · 2019年10月10日
机器学习入门的经验与建议
专知会员服务
94+阅读 · 2019年10月10日
VCIP 2022 Call for Demos
CCF多媒体专委会
1+阅读 · 2022年6月6日
征稿 | CFP:Special Issue of NLP and KG(JCR Q2,IF2.67)
开放知识图谱
1+阅读 · 2022年4月4日
Hierarchically Structured Meta-learning
CreateAMind
27+阅读 · 2019年5月22日
Transferring Knowledge across Learning Processes
CreateAMind
29+阅读 · 2019年5月18日
强化学习的Unsupervised Meta-Learning
CreateAMind
18+阅读 · 2019年1月7日
Unsupervised Learning via Meta-Learning
CreateAMind
43+阅读 · 2019年1月3日
A Technical Overview of AI & ML in 2018 & Trends for 2019
待字闺中
18+阅读 · 2018年12月24日
disentangled-representation-papers
CreateAMind
26+阅读 · 2018年9月12日
【SIGIR2018】五篇对抗训练文章
专知
12+阅读 · 2018年7月9日
国家自然科学基金
0+阅读 · 2014年12月31日
国家自然科学基金
0+阅读 · 2014年12月31日
国家自然科学基金
0+阅读 · 2013年12月31日
国家自然科学基金
0+阅读 · 2013年12月31日
国家自然科学基金
0+阅读 · 2011年12月31日
Arxiv
20+阅读 · 2022年10月10日
Arxiv
23+阅读 · 2022年2月4日
Arxiv
10+阅读 · 2021年11月3日
Arxiv
10+阅读 · 2021年3月30日
VIP会员
相关资讯
VCIP 2022 Call for Demos
CCF多媒体专委会
1+阅读 · 2022年6月6日
征稿 | CFP:Special Issue of NLP and KG(JCR Q2,IF2.67)
开放知识图谱
1+阅读 · 2022年4月4日
Hierarchically Structured Meta-learning
CreateAMind
27+阅读 · 2019年5月22日
Transferring Knowledge across Learning Processes
CreateAMind
29+阅读 · 2019年5月18日
强化学习的Unsupervised Meta-Learning
CreateAMind
18+阅读 · 2019年1月7日
Unsupervised Learning via Meta-Learning
CreateAMind
43+阅读 · 2019年1月3日
A Technical Overview of AI & ML in 2018 & Trends for 2019
待字闺中
18+阅读 · 2018年12月24日
disentangled-representation-papers
CreateAMind
26+阅读 · 2018年9月12日
【SIGIR2018】五篇对抗训练文章
专知
12+阅读 · 2018年7月9日
相关基金
国家自然科学基金
0+阅读 · 2014年12月31日
国家自然科学基金
0+阅读 · 2014年12月31日
国家自然科学基金
0+阅读 · 2013年12月31日
国家自然科学基金
0+阅读 · 2013年12月31日
国家自然科学基金
0+阅读 · 2011年12月31日
Top
微信扫码咨询专知VIP会员