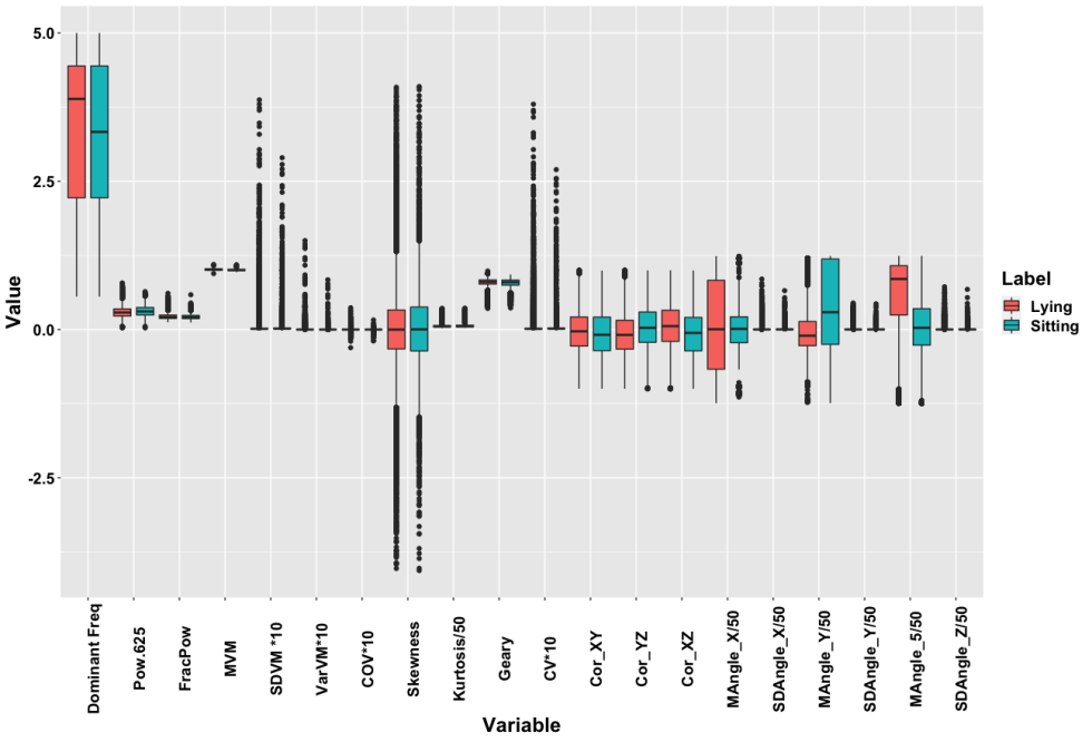
Low physical activity levels in the intensive care units (ICU) patients have been linked to adverse clinical outcomes. Therefore, there is a need for continuous and objective measurement of physical activity in the ICU to quantify the association between physical activity and patient outcomes. This measurement would also help clinicians evaluate the efficacy of proposed rehabilitation and physical therapy regimens in improving physical activity. In this study, we examined the feasibility of posture recognition in an ICU population using data from wearable sensors.


翻译:特护单位(ICU)病人的低体能活动水平与不良临床结果有关,因此,需要持续和客观地测量该单位的体能活动,以量化身体活动与病人结果之间的联系,这一测量还有助于临床医生评估拟议的康复和物理疗法在改善身体活动方面的功效,在这项研究中,我们研究了使用穿戴感应器的数据在伊斯兰护理单位人口中识别姿态的可行性。

0
下载
关闭预览

相关内容

可穿戴设备即直接穿在身上,或是整合到用户的衣服或配件的一种便携式设备。可穿戴设备不仅仅是一种硬件设备,更是通过软件支持以及数据交互、云端交互来实现强大的功能,可穿戴设备将会对我们的生活、感知带来很大的转变。
专知会员服务
127+阅读 · 2020年8月7日
【干货书】真实机器学习,264页pdf,Real-World Machine Learning
强化学习最新教程,17页pdf
专知会员服务
182+阅读 · 2019年10月11日
[综述]深度学习下的场景文本检测与识别
专知会员服务
78+阅读 · 2019年10月10日
【哈佛大学商学院课程Fall 2019】机器学习可解释性
专知会员服务
105+阅读 · 2019年10月9日
【SIGGRAPH2019】TensorFlow 2.0深度学习计算机图形学应用
专知会员服务
41+阅读 · 2019年10月9日
Unsupervised Learning via Meta-Learning
CreateAMind
43+阅读 · 2019年1月3日
A Technical Overview of AI & ML in 2018 & Trends for 2019
待字闺中
18+阅读 · 2018年12月24日
Disentangled的假设的探讨
CreateAMind
9+阅读 · 2018年12月10日
Hierarchical Disentangled Representations
CreateAMind
4+阅读 · 2018年4月15日
计算机视觉近一年进展综述
机器学习研究会
9+阅读 · 2017年11月25日
【推荐】GAN架构入门综述(资源汇总)
机器学习研究会
10+阅读 · 2017年9月3日
【学习】Hierarchical Softmax
机器学习研究会
4+阅读 · 2017年8月6日
Auto-Encoding GAN
CreateAMind
7+阅读 · 2017年8月4日
【今日新增】IEEE Trans.专刊截稿信息8条
Call4Papers
7+阅读 · 2017年6月29日
Outlier Detection using AI: A Survey
Arxiv
1+阅读 · 2021年12月1日
Arxiv
0+阅读 · 2021年11月30日
Arxiv
46+阅读 · 2021年10月4日
Arxiv
20+阅读 · 2020年6月8日
Deep Learning for Deepfakes Creation and Detection
Arxiv
6+阅读 · 2019年9月25日
VIP会员
相关VIP内容
专知会员服务
127+阅读 · 2020年8月7日
【干货书】真实机器学习,264页pdf,Real-World Machine Learning
强化学习最新教程,17页pdf
专知会员服务
182+阅读 · 2019年10月11日
[综述]深度学习下的场景文本检测与识别
专知会员服务
78+阅读 · 2019年10月10日
【哈佛大学商学院课程Fall 2019】机器学习可解释性
专知会员服务
105+阅读 · 2019年10月9日
【SIGGRAPH2019】TensorFlow 2.0深度学习计算机图形学应用
专知会员服务
41+阅读 · 2019年10月9日
相关资讯
Unsupervised Learning via Meta-Learning
CreateAMind
43+阅读 · 2019年1月3日
A Technical Overview of AI & ML in 2018 & Trends for 2019
待字闺中
18+阅读 · 2018年12月24日
Disentangled的假设的探讨
CreateAMind
9+阅读 · 2018年12月10日
Hierarchical Disentangled Representations
CreateAMind
4+阅读 · 2018年4月15日
计算机视觉近一年进展综述
机器学习研究会
9+阅读 · 2017年11月25日
【推荐】GAN架构入门综述(资源汇总)
机器学习研究会
10+阅读 · 2017年9月3日
【学习】Hierarchical Softmax
机器学习研究会
4+阅读 · 2017年8月6日
Auto-Encoding GAN
CreateAMind
7+阅读 · 2017年8月4日
【今日新增】IEEE Trans.专刊截稿信息8条
Call4Papers
7+阅读 · 2017年6月29日
相关论文
Outlier Detection using AI: A Survey
Arxiv
1+阅读 · 2021年12月1日
Arxiv
0+阅读 · 2021年11月30日
Arxiv
46+阅读 · 2021年10月4日
Arxiv
20+阅读 · 2020年6月8日
Deep Learning for Deepfakes Creation and Detection
Arxiv
6+阅读 · 2019年9月25日
Top
微信扫码咨询专知VIP会员