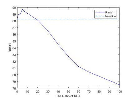
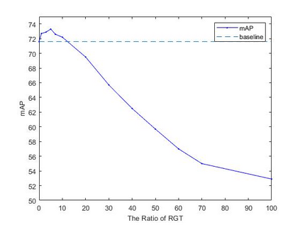
This paper proposes a general multi-modal data learning method, which includes Global Homogeneous Transformation, Local Homogeneous Transformation and their combination. During ReID model training, on the one hand, it randomly selected a rectangular area in the RGB image and replace its color with the same rectangular area in corresponding homogeneous image, thus it generate a training image with different homogeneous areas; On the other hand, it convert an image into a homogeneous image. These two methods help the model to directly learn the relationship between different modalities in the Special ReID task. In single-modal ReID tasks, it can be used as an effective data augmentation. The experimental results show that our method achieves a performance improvement of up to 3.3% in single modal ReID task, and performance improvement in the Sketch Re-identification more than 8%. In addition, our experiments also show that this method is also very useful in adversarial training for adversarial defense. It can help the model learn faster and better from adversarial examples.


翻译:本文提出一个通用的多模式数据学习方法, 包括全球同质变换、 本地同质变换及其组合。 在 ReID 模型培训中, 一方面, 它随机选择了 RGB 图像中的矩形区域, 并以对应的同质图像中相同的矩形区域替换其颜色, 从而生成了不同同质区域的培训图像; 另一方面, 它将图像转换成同质图像。 这两种方法帮助模型直接学习特殊 ReID 任务中不同模式之间的关系。 在单式重现任务中, 它可以用作有效的数据增强。 实验结果显示, 我们的方法在单一模式重置任务中取得了高达3.3%的性能改进, 并在Scletch 重新定位中取得了超过8%的性能改进。 此外, 我们的实验还表明, 这种方法在对抗性辩护的对抗性训练中也非常有用。 它可以帮助模型从对抗性实例中学习更快和更好。

0
下载
关闭预览

相关内容

零样本文本分类,Zero-Shot Learning for Text Classification
专知会员服务
97+阅读 · 2020年5月31日
深度强化学习策略梯度教程,53页ppt
专知会员服务
184+阅读 · 2020年2月1日
【斯坦福大学】Gradient Surgery for Multi-Task Learning
专知会员服务
47+阅读 · 2020年1月23日
【强化学习资源集合】Awesome Reinforcement Learning
专知会员服务
98+阅读 · 2019年12月23日
Stabilizing Transformers for Reinforcement Learning
专知会员服务
60+阅读 · 2019年10月17日
Multi-Task Learning的几篇综述文章
深度学习自然语言处理
15+阅读 · 2020年6月15日
Hierarchically Structured Meta-learning
CreateAMind
27+阅读 · 2019年5月22日
Transferring Knowledge across Learning Processes
CreateAMind
29+阅读 · 2019年5月18日
强化学习的Unsupervised Meta-Learning
CreateAMind
18+阅读 · 2019年1月7日
Unsupervised Learning via Meta-Learning
CreateAMind
43+阅读 · 2019年1月3日
meta learning 17年:MAML SNAIL
CreateAMind
11+阅读 · 2019年1月2日
PTGAN for Person Re-Identification
统计学习与视觉计算组
4+阅读 · 2018年9月10日
条件GAN重大改进!cGANs with Projection Discriminator
CreateAMind
8+阅读 · 2018年2月7日
强化学习 cartpole_a3c
CreateAMind
9+阅读 · 2017年7月21日
Copy and Paste method based on Pose for ReID
Arxiv
0+阅读 · 2021年7月22日
Arxiv
11+阅读 · 2018年7月8日
VIP会员
相关资讯
Multi-Task Learning的几篇综述文章
深度学习自然语言处理
15+阅读 · 2020年6月15日
Hierarchically Structured Meta-learning
CreateAMind
27+阅读 · 2019年5月22日
Transferring Knowledge across Learning Processes
CreateAMind
29+阅读 · 2019年5月18日
强化学习的Unsupervised Meta-Learning
CreateAMind
18+阅读 · 2019年1月7日
Unsupervised Learning via Meta-Learning
CreateAMind
43+阅读 · 2019年1月3日
meta learning 17年:MAML SNAIL
CreateAMind
11+阅读 · 2019年1月2日
PTGAN for Person Re-Identification
统计学习与视觉计算组
4+阅读 · 2018年9月10日
条件GAN重大改进!cGANs with Projection Discriminator
CreateAMind
8+阅读 · 2018年2月7日
强化学习 cartpole_a3c
CreateAMind
9+阅读 · 2017年7月21日
Top
微信扫码咨询专知VIP会员