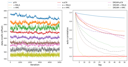
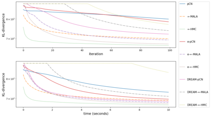
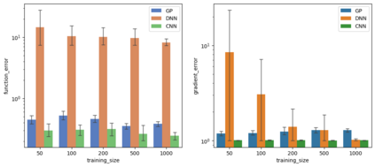
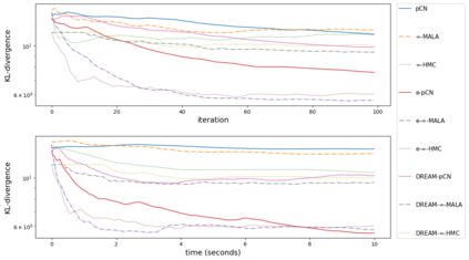
Due to the importance of uncertainty quantification (UQ), Bayesian approach to inverse problems has recently gained popularity in applied mathematics, physics, and engineering. However, traditional Bayesian inference methods based on Markov Chain Monte Carlo (MCMC) tend to be computationally intensive and inefficient for such high dimensional problems. To address this issue, several methods based on surrogate models have been proposed to speed up the inference process. More specifically, the calibration-emulation-sampling (CES) scheme has been proven to be successful in large dimensional UQ problems. In this work, we propose a novel CES approach for Bayesian inference based on deep neural network (DNN) models for the emulation phase. The resulting algorithm is not only computationally more efficient, but also less sensitive to the training set. Further, by using an Autoencoder (AE) for dimension reduction, we have been able to speed up our Bayesian inference method up to three orders of magnitude. Overall, our method, henceforth called \emph{Dimension-Reduced Emulative Autoencoder Monte Carlo (DREAM)} algorithm, is able to scale Bayesian UQ up to thousands of dimensions in physics-constrained inverse problems. Using two low-dimensional (linear and nonlinear) inverse problems we illustrate the validity this approach. Next, we apply our method to two high-dimensional numerical examples (elliptic and advection-diffussion) to demonstrate its computational advantage over existing algorithms.


翻译:由于不确定性量化的重要性(UQ),巴耶斯人对反问题的方法最近在应用数学、物理和工程应用中越来越受应用的数学、物理和工程学的流行程度。然而,基于Markov 链子蒙特卡洛(MCMC)的传统巴耶斯人的推论方法往往在计算上密集且效率低下,以应对如此高的层面问题。为了解决这一问题,提出了基于代用模型的几种方法,以加快推论过程的速度。更具体地说,校准模拟(CES)方法已证明在应用大维度UQ的问题中是成功的。在这项工作中,我们建议基于深神经网络(DNNN)模型的贝耶斯人的推论方法。由此产生的算法不仅在计算上效率更高,而且对培训设置不那么敏感。此外,通过使用一个自动编码(AE)来加速推导力推导力推导力推导力推导力推导力推导力推导力推至三大级。总体而言,我们的方法(Empenci-deci-deciation-decial-decial-degraphical-deal-nical Qal-deal-degraphal-deal-deal-deal-deal-deal-deal-degraducolviducolmaxx) 和在使用我们现有的方法中,我们现有的方法中,在使用低方法推算算算算算法的下两个级的推算法的推算法,在使用下,在运用了两个层次推力推力推力推力推力推力推力推力推力推力推论,在使用了。

0
下载
关闭预览

相关内容

贝叶斯推断(BAYESIAN INFERENCE)是一种应用于不确定性条件下的决策的统计方法。贝叶斯推断的显著特征是,为了得到一个统计结论能够利用先验信息和样本信息。
【干货书】机器学习速查手册,135页pdf
专知会员服务
127+阅读 · 2020年11月20日
【经典书】贝叶斯编程,378页pdf,Bayesian Programming
专知会员服务
250+阅读 · 2020年5月18日
强化学习最新教程,17页pdf
专知会员服务
182+阅读 · 2019年10月11日
【SIGGRAPH2019】TensorFlow 2.0深度学习计算机图形学应用
专知会员服务
41+阅读 · 2019年10月9日
meta learning 17年:MAML SNAIL
CreateAMind
11+阅读 · 2019年1月2日
已删除
将门创投
3+阅读 · 2018年6月20日
【论文】变分推断(Variational inference)的总结
机器学习研究会
39+阅读 · 2017年11月16日
Arxiv
0+阅读 · 2021年3月4日
Arxiv
7+阅读 · 2019年6月20日
Parsimonious Bayesian deep networks
Arxiv
5+阅读 · 2018年10月17日
Arxiv
19+阅读 · 2018年6月27日
VIP会员
相关资讯
meta learning 17年:MAML SNAIL
CreateAMind
11+阅读 · 2019年1月2日
已删除
将门创投
3+阅读 · 2018年6月20日
【论文】变分推断(Variational inference)的总结
机器学习研究会
39+阅读 · 2017年11月16日
相关论文
Top
微信扫码咨询专知VIP会员