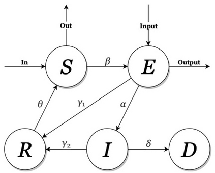
Since the SARS outbreak in 2003, a lot of predictive epidemiological models have been proposed. At the end of 2019, a novel coronavirus, termed as 2019-nCoV, has broken out and is propagating in China and the world. Here we propose a multi-model ordinary differential equation set neural network (MMODEs-NN) and model-free methods to predict the interprovincial transmissions in mainland China, especially those from Hubei Province. Compared with the previously proposed epidemiological models, the proposed network can simulate the transportations with the ODEs activation method, while the model-free methods based on the sigmoid function, Gaussian function, and Poisson distribution are linear and fast to generate reasonable predictions. According to the numerical experiments and the realities, the special policies for controlling the disease are successful in some provinces, and the transmission of the epidemic, whose outbreak time is close to the beginning of China Spring Festival travel rush, is more likely to decelerate before February 18 and to end before April 2020. The proposed mathematical and artificial intelligence methods can give consistent and reasonable predictions of the 2019-nCoV ending. We anticipate our work to be a starting point for comprehensive prediction researches of the 2019-nCoV.


翻译:自2003年SARS疫情爆发以来,提出了许多预测性流行病学模型。2019年底,中国和全世界爆发并传播了被称为2019-nCOV的新型冠状病毒,在中国和世界传播。我们在此建议采用多模型普通差异方程式神经神经网络(MMODEs-NNN)和模型不使用的方法来预测中国大陆的跨省传播,特别是来自湖北省的传播。与先前提议的流行病学模型相比,拟议的网络可以模拟使用ODEs激活方法的运输,而基于Sigmoid函数、Gaussian函数和Poisson分布的无模型方法则是线性且快速生成合理预测。根据数字实验和现实,控制该疾病的特殊政策在一些省份是成功的,而疫情的传播(其爆发时间接近于中国春节旅行的开始时间)则更有可能在2月18日之前和2020年4月之前减速。拟议的数学和人工智能方法可以提供2019-VCO综合预测的连续和合理预测。我们预计的2019-VCO工作将开始阶段的工作。

2
下载
关闭预览

相关内容

2019新型冠状病毒 (Novel coronavirus),为新兴传染病“严重特殊传染性肺炎”病原,由世界卫生组织命名为2019-nCoV,又名武汉冠状病毒(Wuhan coronavirus)、武汉肺炎(Wuhan pneumonia)等,是一种具有包膜的正链单股RNA冠状病毒。2019-2020年新型冠状病毒肺炎事件爆发期间,研究人员在对肺炎阳性患者样本进行核酸检测以及基因组测序后发现了这一病毒。 https://zh.wikipedia.org/wiki/2019%E6%96%B0%E5%9E%8B%E5%86%A0%E7%8B%80%E7%97%85%E6%AF%92
强化学习最新教程,17页pdf
专知会员服务
182+阅读 · 2019年10月11日
机器学习入门的经验与建议
专知会员服务
94+阅读 · 2019年10月10日
计算机 | 入门级EI会议ICVRIS 2019诚邀稿件
Call4Papers
10+阅读 · 2019年6月24日
计算机 | 中低难度国际会议信息8条
Call4Papers
9+阅读 · 2019年6月19日
计算机 | IUI 2020等国际会议信息4条
Call4Papers
6+阅读 · 2019年6月17日
CCF推荐 | 国际会议信息10条
Call4Papers
8+阅读 · 2019年5月27日
A Technical Overview of AI & ML in 2018 & Trends for 2019
待字闺中
18+阅读 · 2018年12月24日
Disentangled的假设的探讨
CreateAMind
9+阅读 · 2018年12月10日
计算机类 | 11月截稿会议信息9条
Call4Papers
6+阅读 · 2018年10月14日
disentangled-representation-papers
CreateAMind
26+阅读 · 2018年9月12日
【今日新增】IEEE Trans.专刊截稿信息8条
Call4Papers
7+阅读 · 2017年6月29日
VIP会员
相关VIP内容
强化学习最新教程,17页pdf
专知会员服务
182+阅读 · 2019年10月11日
机器学习入门的经验与建议
专知会员服务
94+阅读 · 2019年10月10日
相关资讯
计算机 | 入门级EI会议ICVRIS 2019诚邀稿件
Call4Papers
10+阅读 · 2019年6月24日
计算机 | 中低难度国际会议信息8条
Call4Papers
9+阅读 · 2019年6月19日
计算机 | IUI 2020等国际会议信息4条
Call4Papers
6+阅读 · 2019年6月17日
CCF推荐 | 国际会议信息10条
Call4Papers
8+阅读 · 2019年5月27日
A Technical Overview of AI & ML in 2018 & Trends for 2019
待字闺中
18+阅读 · 2018年12月24日
Disentangled的假设的探讨
CreateAMind
9+阅读 · 2018年12月10日
计算机类 | 11月截稿会议信息9条
Call4Papers
6+阅读 · 2018年10月14日
disentangled-representation-papers
CreateAMind
26+阅读 · 2018年9月12日
【今日新增】IEEE Trans.专刊截稿信息8条
Call4Papers
7+阅读 · 2017年6月29日
Top
微信扫码咨询专知VIP会员