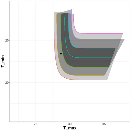
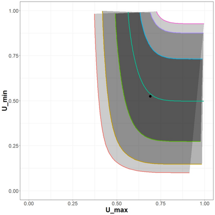
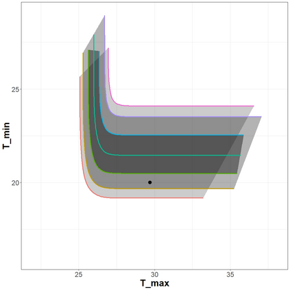
The statistical analysis of univariate quantiles is a well developed research topic. However, there is a profound need for research in multivariate quantiles. We tackle the topic of bivariate quantiles and bivariate quantile regression using vine copulas. They are graph theoretical models identified by a sequence of linked trees, which allow for separate modelling of marginal distributions and the dependence structure. We introduce a novel graph structure model (given by a tree sequence) specifically designed for a symmetric treatment of two responses in a predictive regression setting. We establish computational tractability of the model and a straight forward way of obtaining different conditional distributions. Using vine copulas the typical shortfalls of regression, as the need for transformations or interactions of predictors, collinearity or quantile crossings are avoided. We illustrate the copula based bivariate quantiles for different copula distributions and provide a data set example. Further, the data example emphasizes the benefits of the joint bivariate response modelling in contrast to two separate univariate regressions or by assuming conditional independence, for bivariate response data set in the presence of conditional dependence.


翻译:单亚里叶四分位数的统计分析是一个完善的研究课题。 但是,对于多变量四分位数的研究非常需要。 我们用 vine colulas 来解决双变量四分位数和双变量四分位数回归的主题。 它们是由一系列关联树确定的图形理论模型, 允许对边际分布和依赖结构分别进行建模。 我们引入了一个新颖的图表结构模型( 由树序组成), 专门设计用于在预测回归环境下对两种反应进行对称处理。 我们建立了模型的计算可移动性, 以及获得不同条件分布的直线前进方式。 使用 vine coulus 典型的回归缺陷, 以避免预测器、 共线性或四分位数交叉点的转换或互动。 我们为不同的相位数分布提供了基于双变量的二次曲线的二次曲线结构结构模型, 并提供一组数据。 此外, 数据示例强调了联合双变量反应模型的效益, 与两种独立的单位数回归或假设有条件的独立, 以双位数反应数据显示的有条件的可靠性。

0
下载
关闭预览

相关内容

官方網站: https://vine.co
专知会员服务
45+阅读 · 2020年12月18日
专知会员服务
51+阅读 · 2020年12月14日
【干货书】机器学习速查手册,135页pdf
专知会员服务
127+阅读 · 2020年11月20日
强化学习最新教程,17页pdf
专知会员服务
182+阅读 · 2019年10月11日
机器学习入门的经验与建议
专知会员服务
94+阅读 · 2019年10月10日
【哈佛大学商学院课程Fall 2019】机器学习可解释性
专知会员服务
105+阅读 · 2019年10月9日
VCIP 2022 Call for Special Session Proposals
CCF多媒体专委会
1+阅读 · 2022年4月1日
ACM MM 2022 Call for Papers
CCF多媒体专委会
5+阅读 · 2022年3月29日
AIART 2022 Call for Papers
CCF多媒体专委会
1+阅读 · 2022年2月13日
【ICIG2021】Check out the hot new trailer of ICIG2021 Symposium8
中国图象图形学学会CSIG
0+阅读 · 2021年11月16日
【ICIG2021】Check out the hot new trailer of ICIG2021 Symposium6
中国图象图形学学会CSIG
2+阅读 · 2021年11月12日
Hierarchically Structured Meta-learning
CreateAMind
27+阅读 · 2019年5月22日
Transferring Knowledge across Learning Processes
CreateAMind
29+阅读 · 2019年5月18日
A Technical Overview of AI & ML in 2018 & Trends for 2019
待字闺中
18+阅读 · 2018年12月24日
【论文】变分推断(Variational inference)的总结
机器学习研究会
39+阅读 · 2017年11月16日
国家自然科学基金
0+阅读 · 2012年12月31日
国家自然科学基金
0+阅读 · 2012年12月31日
国家自然科学基金
0+阅读 · 2012年12月31日
国家自然科学基金
0+阅读 · 2009年12月31日
国家自然科学基金
0+阅读 · 2008年12月31日
Arxiv
0+阅读 · 2022年6月23日
Arxiv
0+阅读 · 2022年6月22日
Arxiv
0+阅读 · 2022年6月21日
VIP会员
相关VIP内容
专知会员服务
45+阅读 · 2020年12月18日
专知会员服务
51+阅读 · 2020年12月14日
【干货书】机器学习速查手册,135页pdf
专知会员服务
127+阅读 · 2020年11月20日
强化学习最新教程,17页pdf
专知会员服务
182+阅读 · 2019年10月11日
机器学习入门的经验与建议
专知会员服务
94+阅读 · 2019年10月10日
【哈佛大学商学院课程Fall 2019】机器学习可解释性
专知会员服务
105+阅读 · 2019年10月9日
相关资讯
VCIP 2022 Call for Special Session Proposals
CCF多媒体专委会
1+阅读 · 2022年4月1日
ACM MM 2022 Call for Papers
CCF多媒体专委会
5+阅读 · 2022年3月29日
AIART 2022 Call for Papers
CCF多媒体专委会
1+阅读 · 2022年2月13日
【ICIG2021】Check out the hot new trailer of ICIG2021 Symposium8
中国图象图形学学会CSIG
0+阅读 · 2021年11月16日
【ICIG2021】Check out the hot new trailer of ICIG2021 Symposium6
中国图象图形学学会CSIG
2+阅读 · 2021年11月12日
Hierarchically Structured Meta-learning
CreateAMind
27+阅读 · 2019年5月22日
Transferring Knowledge across Learning Processes
CreateAMind
29+阅读 · 2019年5月18日
A Technical Overview of AI & ML in 2018 & Trends for 2019
待字闺中
18+阅读 · 2018年12月24日
【论文】变分推断(Variational inference)的总结
机器学习研究会
39+阅读 · 2017年11月16日
相关基金
国家自然科学基金
0+阅读 · 2012年12月31日
国家自然科学基金
0+阅读 · 2012年12月31日
国家自然科学基金
0+阅读 · 2012年12月31日
国家自然科学基金
0+阅读 · 2009年12月31日
国家自然科学基金
0+阅读 · 2008年12月31日
Top
微信扫码咨询专知VIP会员