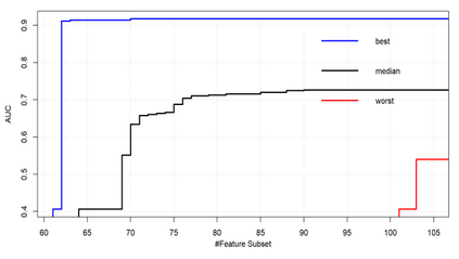
Feature subset selection (FSS) for classification is inherently a bi-objective optimization problem, where the task is to obtain a feature subset which yields the maximum possible area under the receiver operator characteristic curve (AUC) with minimum cardinality of the feature subset. In todays world, a humungous amount of data is generated in all activities of humans. To mine such voluminous data, which is often high-dimensional, there is a need to develop parallel and scalable frameworks. In the first-of-its-kind study, we propose and develop an iterative MapReduce-based framework for bi-objective evolutionary algorithms (EAs) based wrappers under Apache spark with the migration strategy. In order to accomplish this, we parallelized the non-dominated sorting based algorithms namely non dominated sorting algorithm (NSGA-II), and non-dominated sorting particle swarm optimization (NSPSO), also the decomposition-based algorithm, namely the multi-objective evolutionary algorithm based on decomposition (MOEA-D), and named them P-NSGA-II-IS, P-NSPSO-IS, P-MOEA-D-IS, respectively. We proposed a modified MOEA-D by incorporating the non-dominated sorting principle while parallelizing it. Throughout the study, AUC is computed by logistic regression (LR). We test the effectiveness of the proposed methodology on various datasets. It is noteworthy that the P-NSGA-II turns out to be statistically significant by being in the top 2 positions on most datasets. We also reported the empirical attainment plots, speed up analysis, and mean AUC obtained by the most repeated feature subset and the least cardinal feature subset with the highest AUC, and diversity analysis using hypervolume.


翻译:用于分类的奇特子选择( FSS) 本质上是一个双目标优化问题, 任务在于获得一个功能子集, 在接收器操作器特性曲线( AUC) 下产生最大可能的部域, 其特性子集为最小基点。 在当今世界, 人类的所有活动中都会生成大量数据。 要挖掘这种大量数据, 这些数据往往是高维的, 就需要开发平行和可缩放的框架。 在首项研究中, 我们提议并开发一个基于迭代的 MapRduce 框架, 用于在阿帕奇战略下基于双目标的演进算法(EAs) 包件(EAs) 。 为了实现这一点, 我们将非主控的排序算法( NSGA- II ) 和 基于非主控控控法的算法( P-MOEAs ), 使用最显著的A- MALS 的A- Silvacrial, 使用最显著的 A- MALS 和 MA- dal- dal- dal- real- recal- realialalal 。

0
下载
关闭预览

相关内容

不可错过!《机器学习100讲》课程,UBC Mark Schmidt讲授
专知会员服务
76+阅读 · 2022年6月28日
强化学习最新教程,17页pdf
专知会员服务
182+阅读 · 2019年10月11日
[综述]深度学习下的场景文本检测与识别
专知会员服务
78+阅读 · 2019年10月10日
机器学习入门的经验与建议
专知会员服务
94+阅读 · 2019年10月10日
【SIGGRAPH2019】TensorFlow 2.0深度学习计算机图形学应用
专知会员服务
41+阅读 · 2019年10月9日
VCIP 2022 Call for Demos
CCF多媒体专委会
1+阅读 · 2022年6月6日
VCIP 2022 Call for Special Session Proposals
CCF多媒体专委会
1+阅读 · 2022年4月1日
AIART 2022 Call for Papers
CCF多媒体专委会
1+阅读 · 2022年2月13日
【ICIG2021】Check out the hot new trailer of ICIG2021 Symposium3
中国图象图形学学会CSIG
0+阅读 · 2021年11月9日
【ICIG2021】Check out the hot new trailer of ICIG2021 Symposium1
中国图象图形学学会CSIG
0+阅读 · 2021年11月3日
Hierarchically Structured Meta-learning
CreateAMind
27+阅读 · 2019年5月22日
Unsupervised Learning via Meta-Learning
CreateAMind
43+阅读 · 2019年1月3日
A Technical Overview of AI & ML in 2018 & Trends for 2019
待字闺中
18+阅读 · 2018年12月24日
【论文】变分推断(Variational inference)的总结
机器学习研究会
39+阅读 · 2017年11月16日
国家自然科学基金
0+阅读 · 2014年12月31日
国家自然科学基金
0+阅读 · 2013年12月31日
国家自然科学基金
0+阅读 · 2012年12月31日
国家自然科学基金
0+阅读 · 2011年12月31日
国家自然科学基金
0+阅读 · 2011年12月31日
国家自然科学基金
0+阅读 · 2011年12月31日
国家自然科学基金
1+阅读 · 2011年12月31日
国家自然科学基金
0+阅读 · 2009年12月31日
国家自然科学基金
0+阅读 · 2008年12月31日
On Feature Normalization and Data Augmentation
Arxiv
15+阅读 · 2020年2月25日
Arxiv
12+阅读 · 2019年3月14日
VIP会员
相关资讯
VCIP 2022 Call for Demos
CCF多媒体专委会
1+阅读 · 2022年6月6日
VCIP 2022 Call for Special Session Proposals
CCF多媒体专委会
1+阅读 · 2022年4月1日
AIART 2022 Call for Papers
CCF多媒体专委会
1+阅读 · 2022年2月13日
【ICIG2021】Check out the hot new trailer of ICIG2021 Symposium3
中国图象图形学学会CSIG
0+阅读 · 2021年11月9日
【ICIG2021】Check out the hot new trailer of ICIG2021 Symposium1
中国图象图形学学会CSIG
0+阅读 · 2021年11月3日
Hierarchically Structured Meta-learning
CreateAMind
27+阅读 · 2019年5月22日
Unsupervised Learning via Meta-Learning
CreateAMind
43+阅读 · 2019年1月3日
A Technical Overview of AI & ML in 2018 & Trends for 2019
待字闺中
18+阅读 · 2018年12月24日
【论文】变分推断(Variational inference)的总结
机器学习研究会
39+阅读 · 2017年11月16日
相关基金
国家自然科学基金
0+阅读 · 2014年12月31日
国家自然科学基金
0+阅读 · 2013年12月31日
国家自然科学基金
0+阅读 · 2012年12月31日
国家自然科学基金
0+阅读 · 2011年12月31日
国家自然科学基金
0+阅读 · 2011年12月31日
国家自然科学基金
0+阅读 · 2011年12月31日
国家自然科学基金
1+阅读 · 2011年12月31日
国家自然科学基金
0+阅读 · 2009年12月31日
国家自然科学基金
0+阅读 · 2008年12月31日
Top
微信扫码咨询专知VIP会员