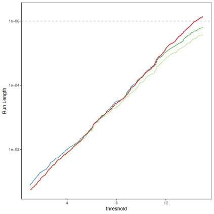
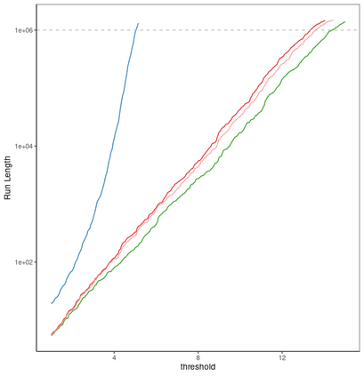
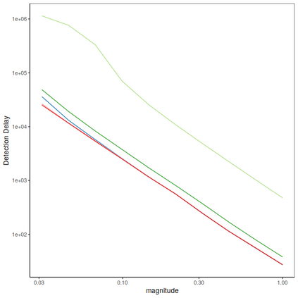
Many modern applications of online changepoint detection require the ability to process high-frequency observations, sometimes with limited available computational resources. Online algorithms for detecting a change in mean often involve using a moving window, or specifying the expected size of change. Such choices affect which changes the algorithms have most power to detect. We introduce an algorithm, Functional Online CuSUM (FOCuS), which is equivalent to running these earlier methods simultaneously for all sizes of window, or all possible values for the size of change. Our theoretical results give tight bounds on the expected computational cost per iteration of FOCuS, with this being logarithmic in the number of observations. We show how FOCuS can be applied to a number of different change in mean scenarios, and demonstrate its practical utility through its state-of-the art performance at detecting anomalous behaviour in computer server data.


翻译:在线变更点探测的许多现代应用要求有能力处理高频观测,有时是有限的计算资源。检测平均值变化的在线算法往往涉及使用移动窗口,或说明预期变化的规模。这种选择影响到改变算法最能检测到的。我们引入了算法,即功能在线 CUSUM(FOCUS),这相当于对所有大小窗口同时运行这些早期方法,或所有可能的改变规模值。我们的理论结果对FOCuS的迭代的预期计算成本作了严格限制,因为观察数量中存在对数。我们展示了FOCUS如何应用到平均情景中的若干不同变化,并通过其最先进的功能,在检测计算机服务器数据中的异常行为时展示其实际效用。

0
下载
关闭预览

相关内容

【NeurIPS 2021】设置多智能体策略梯度的方差
专知会员服务
21+阅读 · 2021年10月24日
专知会员服务
78+阅读 · 2021年3月16日
专知会员服务
51+阅读 · 2020年12月14日
专知会员服务
124+阅读 · 2020年9月8日
2019年机器学习框架回顾
专知会员服务
36+阅读 · 2019年10月11日
【SIGGRAPH2019】TensorFlow 2.0深度学习计算机图形学应用
专知会员服务
41+阅读 · 2019年10月9日
计算机 | 国际会议信息5条
Call4Papers
3+阅读 · 2019年7月3日
计算机 | 入门级EI会议ICVRIS 2019诚邀稿件
Call4Papers
10+阅读 · 2019年6月24日
深度卷积神经网络中的降采样
极市平台
12+阅读 · 2019年5月24日
人工智能 | SCI期刊专刊信息3条
Call4Papers
5+阅读 · 2019年1月10日
计算机类 | ISCC 2019等国际会议信息9条
Call4Papers
5+阅读 · 2018年12月25日
人工智能 | 国际会议信息10条
Call4Papers
5+阅读 · 2018年12月18日
分布式TensorFlow入门指南
机器学习研究会
4+阅读 · 2017年11月28日
最佳实践:深度学习用于自然语言处理(三)
待字闺中
3+阅读 · 2017年8月20日
【学习】Hierarchical Softmax
机器学习研究会
4+阅读 · 2017年8月6日
【今日新增】IEEE Trans.专刊截稿信息8条
Call4Papers
7+阅读 · 2017年6月29日
Arxiv
0+阅读 · 2021年12月7日
Arxiv
13+阅读 · 2019年4月9日
Arxiv
3+阅读 · 2017年12月14日
VIP会员
相关资讯
计算机 | 国际会议信息5条
Call4Papers
3+阅读 · 2019年7月3日
计算机 | 入门级EI会议ICVRIS 2019诚邀稿件
Call4Papers
10+阅读 · 2019年6月24日
深度卷积神经网络中的降采样
极市平台
12+阅读 · 2019年5月24日
人工智能 | SCI期刊专刊信息3条
Call4Papers
5+阅读 · 2019年1月10日
计算机类 | ISCC 2019等国际会议信息9条
Call4Papers
5+阅读 · 2018年12月25日
人工智能 | 国际会议信息10条
Call4Papers
5+阅读 · 2018年12月18日
分布式TensorFlow入门指南
机器学习研究会
4+阅读 · 2017年11月28日
最佳实践:深度学习用于自然语言处理(三)
待字闺中
3+阅读 · 2017年8月20日
【学习】Hierarchical Softmax
机器学习研究会
4+阅读 · 2017年8月6日
【今日新增】IEEE Trans.专刊截稿信息8条
Call4Papers
7+阅读 · 2017年6月29日
Top
微信扫码咨询专知VIP会员