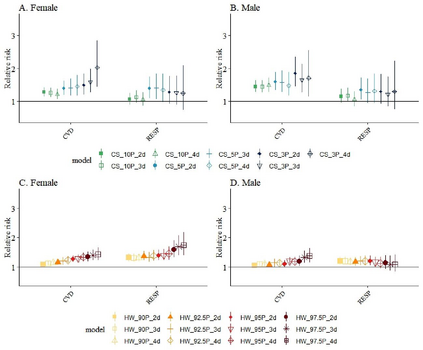
The impact of heat waves and cold spells on mortality has become a major public health problem worldwide, especially among older adults living in low- to middle-income countries. This study aimed to investigate the effects of heat waves and cold spells under different definitions on cause-specific mortality among people aged 65 years and over in Sao Paulo from 2006 to 2015. A quasi-Poisson generalized linear model with a distributed lag model was used to investigate the association between cause-specific mortality and extreme air temperature events. To evaluate the effects of the intensity under different durations, we considered 12 heat wave and nine cold spell definitions. Our results showed an increase in cause-specific deaths related to heat waves and cold spells under several definitions. The highest risk of death related to heat waves was identified mostly at higher temperature thresholds with longer events. We verified that men were more vulnerable to die from an ischemic stroke on heat waves and cold spells days than women, while women presented a higher risk of dying from ischemic heart diseases during cold spells and tended to have a higher risk of chronic obstructive pulmonary disease than men. Identification of heat wave- and cold spell-related mortality is important for the development and promotion of public health measures.


翻译:2006年至2015年,在圣保罗,热浪和冷冻对特定原因死亡率的不同定义下,对65岁及65岁以上人群的热浪和冷冻对死亡的影响进行了调查。这项研究旨在调查2006年至2015年在圣保罗,根据不同定义,对65岁及65岁以上人群中因特定原因死亡造成的热浪和冷冻的影响。使用了一个准Poisson通用线性模型,采用分布式滞后模型来调查特定原因死亡率与极端空气温度事件之间的联系。为了评估不同时期中强度的影响,我们考虑了12次热浪和9次冷冻定义。我们的结果显示,根据几个定义,与热浪和冷冻有关的特定原因造成的死亡人数有所增加。热浪和冷冻热浪造成的死亡风险大多在温度阈值较高的情况下被确定为最高。我们核实,男子比妇女更容易死于热浪和冷冻日的缺血中心脏病致死,而妇女在冷咒期间死于缺血心脏病的风险较高,而且慢性阻塞性肺疾病的风险往往高于男子。确定热浪和与冷冻有关的死亡率对于公共卫生的发展和促进措施非常重要。

0
下载
关闭预览

相关内容

专知会员服务
27+阅读 · 2021年7月11日
 【SIGGRAPH 2020】人像阴影处理,Portrait Shadow Manipulation
专知会员服务
29+阅读 · 2020年5月19日
开源书:PyTorch深度学习起步
专知会员服务
51+阅读 · 2019年10月11日
[综述]深度学习下的场景文本检测与识别
专知会员服务
78+阅读 · 2019年10月10日
机器学习入门的经验与建议
专知会员服务
94+阅读 · 2019年10月10日
CCF C类 | DSAA 2019 诚邀稿件
Call4Papers
6+阅读 · 2019年5月13日
计算机 | CCF推荐期刊专刊信息5条
Call4Papers
3+阅读 · 2019年4月10日
已删除
将门创投
5+阅读 · 2019年4月4日
计算机类 | ISCC 2019等国际会议信息9条
Call4Papers
5+阅读 · 2018年12月25日
A Technical Overview of AI & ML in 2018 & Trends for 2019
待字闺中
18+阅读 · 2018年12月24日
Arxiv
0+阅读 · 2021年9月13日
Arxiv
30+阅读 · 2021年8月18日
VIP会员
相关资讯
CCF C类 | DSAA 2019 诚邀稿件
Call4Papers
6+阅读 · 2019年5月13日
计算机 | CCF推荐期刊专刊信息5条
Call4Papers
3+阅读 · 2019年4月10日
已删除
将门创投
5+阅读 · 2019年4月4日
计算机类 | ISCC 2019等国际会议信息9条
Call4Papers
5+阅读 · 2018年12月25日
A Technical Overview of AI & ML in 2018 & Trends for 2019
待字闺中
18+阅读 · 2018年12月24日
Top
微信扫码咨询专知VIP会员