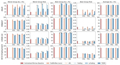
Federated learning is an increasingly popular paradigm that enables a large number of entities to collaboratively learn better models. In this work, we study minimax group fairness in federated learning scenarios where different participating entities may only have access to a subset of the population groups during the training phase. We formally analyze how our proposed group fairness objective differs from existing federated learning fairness criteria that impose similar performance across participants instead of demographic groups. We provide an optimization algorithm -- FedMinMax -- for solving the proposed problem that provably enjoys the performance guarantees of centralized learning algorithms. We experimentally compare the proposed approach against other state-of-the-art methods in terms of group fairness in various federated learning setups, showing that our approach exhibits competitive or superior performance.


翻译:联邦学习是一种日益流行的模式,它使许多实体能够合作学习更好的模式。在这项工作中,我们研究了联邦学习情景中的小型群体公平性,不同参与实体在培训阶段只能接触一部分人口群体。我们正式分析了我们提议的联邦学习公平性目标与现有的联邦学习公平性标准有何不同,后者在参与者而不是人口群体中规定了类似的业绩。我们提供了一种优化算法 -- -- FedMinmax -- -- 以解决拟议的问题,因为后者可以明显地享有集中学习算法的绩效保障。我们在各种联邦学习组合中将拟议的方法与其他最先进的方法进行了实验性比较,表明我们的做法具有竞争性或优异性。

0
下载
关闭预览

相关内容

专知会员服务
32+阅读 · 2021年6月12日
【图神经网络导论】Intro to Graph Neural Networks,176页ppt
专知会员服务
129+阅读 · 2021年6月4日
ICML 2021论文收录
专知会员服务
123+阅读 · 2021年5月8日
最新《联邦学习Federated Learning》报告,Federated Learning
专知会员服务
89+阅读 · 2020年12月2日
专知会员服务
124+阅读 · 2020年9月8日
100+篇《自监督学习(Self-Supervised Learning)》论文最新合集
专知会员服务
167+阅读 · 2020年3月18日
机器学习入门的经验与建议
专知会员服务
94+阅读 · 2019年10月10日
VCIP 2022 Call for Special Session Proposals
CCF多媒体专委会
1+阅读 · 2022年4月1日
AIART 2022 Call for Papers
CCF多媒体专委会
1+阅读 · 2022年2月13日
SCI征稿 | IJCKG 2021,KG&GNN相关均可投递
图与推荐
0+阅读 · 2021年10月8日
会议交流 | IJCKG: International Joint Conference on Knowledge Graphs
强化学习三篇论文 避免遗忘等
CreateAMind
20+阅读 · 2019年5月24日
Hierarchically Structured Meta-learning
CreateAMind
27+阅读 · 2019年5月22日
19篇ICML2019论文摘录选读!
专知
28+阅读 · 2019年4月28日
Unsupervised Learning via Meta-Learning
CreateAMind
43+阅读 · 2019年1月3日
A Technical Overview of AI & ML in 2018 & Trends for 2019
待字闺中
18+阅读 · 2018年12月24日
国家自然科学基金
2+阅读 · 2015年12月31日
国家自然科学基金
0+阅读 · 2012年12月31日
国家自然科学基金
1+阅读 · 2012年12月31日
国家自然科学基金
0+阅读 · 2011年12月31日
国家自然科学基金
0+阅读 · 2011年12月31日
国家自然科学基金
0+阅读 · 2009年12月31日
国家自然科学基金
0+阅读 · 2008年12月31日
国家自然科学基金
0+阅读 · 2008年12月31日
Arxiv
1+阅读 · 2022年4月20日
Arxiv
0+阅读 · 2022年4月19日
Arxiv
0+阅读 · 2022年4月17日
Arxiv
23+阅读 · 2022年2月24日
Attentive Graph Neural Networks for Few-Shot Learning
Arxiv
40+阅读 · 2020年7月14日
VIP会员
相关VIP内容
专知会员服务
32+阅读 · 2021年6月12日
【图神经网络导论】Intro to Graph Neural Networks,176页ppt
专知会员服务
129+阅读 · 2021年6月4日
ICML 2021论文收录
专知会员服务
123+阅读 · 2021年5月8日
最新《联邦学习Federated Learning》报告,Federated Learning
专知会员服务
89+阅读 · 2020年12月2日
专知会员服务
124+阅读 · 2020年9月8日
100+篇《自监督学习(Self-Supervised Learning)》论文最新合集
专知会员服务
167+阅读 · 2020年3月18日
机器学习入门的经验与建议
专知会员服务
94+阅读 · 2019年10月10日
相关资讯
VCIP 2022 Call for Special Session Proposals
CCF多媒体专委会
1+阅读 · 2022年4月1日
AIART 2022 Call for Papers
CCF多媒体专委会
1+阅读 · 2022年2月13日
SCI征稿 | IJCKG 2021,KG&GNN相关均可投递
图与推荐
0+阅读 · 2021年10月8日
会议交流 | IJCKG: International Joint Conference on Knowledge Graphs
强化学习三篇论文 避免遗忘等
CreateAMind
20+阅读 · 2019年5月24日
Hierarchically Structured Meta-learning
CreateAMind
27+阅读 · 2019年5月22日
19篇ICML2019论文摘录选读!
专知
28+阅读 · 2019年4月28日
Unsupervised Learning via Meta-Learning
CreateAMind
43+阅读 · 2019年1月3日
A Technical Overview of AI & ML in 2018 & Trends for 2019
待字闺中
18+阅读 · 2018年12月24日
相关基金
国家自然科学基金
2+阅读 · 2015年12月31日
国家自然科学基金
0+阅读 · 2012年12月31日
国家自然科学基金
1+阅读 · 2012年12月31日
国家自然科学基金
0+阅读 · 2011年12月31日
国家自然科学基金
0+阅读 · 2011年12月31日
国家自然科学基金
0+阅读 · 2009年12月31日
国家自然科学基金
0+阅读 · 2008年12月31日
国家自然科学基金
0+阅读 · 2008年12月31日
Top
微信扫码咨询专知VIP会员