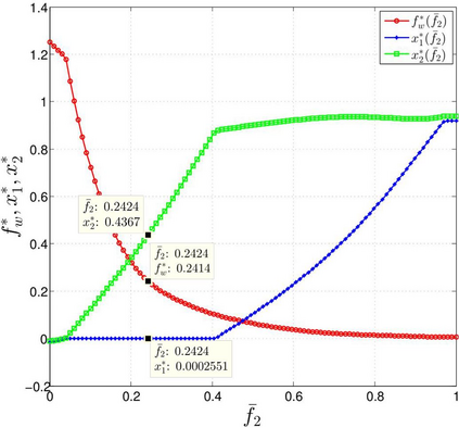
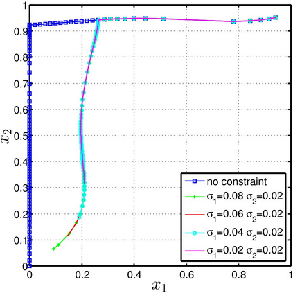
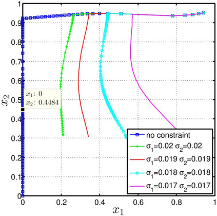
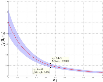
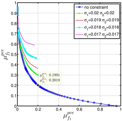
This paper presents an efficient methodology for the robust optimisation of Continuous Flow Polymerase Chain Reaction (CFPCR) devices. It enables the effects of uncertainties in device geometry, due to manufacturing tolerances, on the competing objectives of minimising the temperature deviations within the CFPCR thermal zones, together with minimising the pressure drop across the device, to be explored. We first validate that our training data from conjugate heat transfer simulations of the CFPCR thermal flow problems is noise free and then combine a deterministic surrogate model, based on the mean of a Gaussian Process Regression (GPR) simulator, with Polynomial Chaos Expansions (PCE) to propagate the manufacturing uncertainties in the geometry design variables into the optimisation outputs. The resultant probabilistic model is used to solve a series of robust optimisation problems. The influence of the robust problem formulation and constraints on the design conservatism of the robust optima in comparison with the corresponding deterministic cases is explored briefly.


翻译:本文为持续流动聚合酶链反应(CFPCR)装置的稳妥优化提供了一种有效的方法,它使由于制造容度而使装置几何上的不确定性对尽量减少CFPCR热区内温度偏差的相互竞争的目标产生的效果,同时尽量减少该装置内的压力下降,以供探讨。我们首先确认,我们从CFCR热流问题共热传输模拟中得出的培训数据是无噪音的,然后将基于高斯进程递增(GPR)模拟器的确定性代孕模型与多位混集器扩展(PCE)的平均值结合起来,将几何设计变量中的制造不确定性传播到优化输出中。结果的概率模型用于解决一系列稳健的优化问题。将简要探讨强势选谱与相应的确定性案例相比,强势选谱的形成和制约性设计保守性的影响。

0
下载
关闭预览

相关内容

Linux导论,Introduction to Linux,96页ppt
专知会员服务
82+阅读 · 2020年7月26日
Fariz Darari简明《博弈论Game Theory》介绍,35页ppt
专知会员服务
112+阅读 · 2020年5月15日
强化学习最新教程,17页pdf
专知会员服务
182+阅读 · 2019年10月11日
[综述]深度学习下的场景文本检测与识别
专知会员服务
78+阅读 · 2019年10月10日
【SIGGRAPH2019】TensorFlow 2.0深度学习计算机图形学应用
专知会员服务
41+阅读 · 2019年10月9日
Transferring Knowledge across Learning Processes
CreateAMind
29+阅读 · 2019年5月18日
强化学习的Unsupervised Meta-Learning
CreateAMind
18+阅读 · 2019年1月7日
Unsupervised Learning via Meta-Learning
CreateAMind
43+阅读 · 2019年1月3日
A Technical Overview of AI & ML in 2018 & Trends for 2019
待字闺中
18+阅读 · 2018年12月24日
Hierarchical Disentangled Representations
CreateAMind
4+阅读 · 2018年4月15日
lightgbm algorithm case of kaggle(上)
R语言中文社区
8+阅读 · 2018年3月20日
【推荐】RNN/LSTM时序预测
机器学习研究会
25+阅读 · 2017年9月8日
Auto-Encoding GAN
CreateAMind
7+阅读 · 2017年8月4日
Logically-Constrained Reinforcement Learning
Arxiv
3+阅读 · 2018年12月6日
VIP会员
相关资讯
Top
微信扫码咨询专知VIP会员