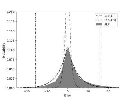
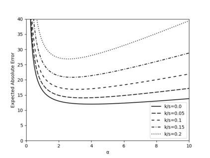
Representing a sparse histogram, or more generally a sparse vector, is a fundamental task in differential privacy. An ideal solution would use space close to information-theoretical lower bounds, have an error distribution that depends optimally on the desired privacy level, and allow fast random access to entries in the vector. However, existing approaches have only achieved two of these three goals. In this paper we introduce the Approximate Laplace Projection (ALP) mechanism for approximating k-sparse vectors. This mechanism is shown to simultaneously have information-theoretically optimal space (up to constant factors), fast access to vector entries, and error of the same magnitude as the Laplace-mechanism applied to dense vectors. A key new technique is a unary representation of small integers, which we show to be robust against ``randomized response'' noise. This representation is combined with hashing, in the spirit of Bloom filters, to obtain a space-efficient, differentially private representation. Our theoretical performance bounds are complemented by simulations which show that the constant factors on the main performance parameters are quite small, suggesting practicality of the technique.


翻译:代表一种稀薄的直方图,或更一般地代表一种稀薄的矢量,是不同隐私中的一项基本任务。理想的解决方案将使用接近信息理论下限的空间,使用最理想的偏差分布方式,以理想的隐私水平为主,并允许快速随机访问矢量中的条目。但是,现有方法只达到了这三项目标中的两项。在本文中,我们引入了近似 Laplace 投影( ALP) 机制, 以适应 k- sparse 矢量。 这个机制显示同时拥有信息- 理论最佳空间( 以恒定系数为限 ), 快速访问矢量条目, 以及与对密度矢量矢量应用的 Laplace- 机械性能相同大小的错误。 一种关键的新技术是小整数的单数, 这表明我们对“ 调整响应” 的噪音具有很强的力度。 这个表达方式结合了“ ”, 以Bloom 过滤器的精神, 以获得一个空间高效的、 差异的私人代表方式。我们的理论性表现约束得到了模拟的补充, 它的模拟显示主要性参数参数参数参数非常小, 表明技术的实际性。

0
下载
关闭预览

相关内容

Fariz Darari简明《博弈论Game Theory》介绍,35页ppt
专知会员服务
112+阅读 · 2020年5月15日
Stabilizing Transformers for Reinforcement Learning
专知会员服务
60+阅读 · 2019年10月17日
Hierarchically Structured Meta-learning
CreateAMind
27+阅读 · 2019年5月22日
Transferring Knowledge across Learning Processes
CreateAMind
29+阅读 · 2019年5月18日
无监督元学习表示学习
CreateAMind
27+阅读 · 2019年1月4日
Unsupervised Learning via Meta-Learning
CreateAMind
43+阅读 · 2019年1月3日
meta learning 17年:MAML SNAIL
CreateAMind
11+阅读 · 2019年1月2日
A Technical Overview of AI & ML in 2018 & Trends for 2019
待字闺中
18+阅读 · 2018年12月24日
Disentangled的假设的探讨
CreateAMind
9+阅读 · 2018年12月10日
【推荐】Python机器学习生态圈(Scikit-Learn相关项目)
机器学习研究会
6+阅读 · 2017年8月23日
【推荐】图像分类必读开创性论文汇总
机器学习研究会
14+阅读 · 2017年8月15日
【学习】Hierarchical Softmax
机器学习研究会
4+阅读 · 2017年8月6日
Differentially private inference via noisy optimization
Arxiv
0+阅读 · 2021年11月16日
Arxiv
7+阅读 · 2020年6月29日
Arxiv
3+阅读 · 2018年1月31日
Arxiv
4+阅读 · 2018年1月15日
VIP会员
相关资讯
Hierarchically Structured Meta-learning
CreateAMind
27+阅读 · 2019年5月22日
Transferring Knowledge across Learning Processes
CreateAMind
29+阅读 · 2019年5月18日
无监督元学习表示学习
CreateAMind
27+阅读 · 2019年1月4日
Unsupervised Learning via Meta-Learning
CreateAMind
43+阅读 · 2019年1月3日
meta learning 17年:MAML SNAIL
CreateAMind
11+阅读 · 2019年1月2日
A Technical Overview of AI & ML in 2018 & Trends for 2019
待字闺中
18+阅读 · 2018年12月24日
Disentangled的假设的探讨
CreateAMind
9+阅读 · 2018年12月10日
【推荐】Python机器学习生态圈(Scikit-Learn相关项目)
机器学习研究会
6+阅读 · 2017年8月23日
【推荐】图像分类必读开创性论文汇总
机器学习研究会
14+阅读 · 2017年8月15日
【学习】Hierarchical Softmax
机器学习研究会
4+阅读 · 2017年8月6日
Top
微信扫码咨询专知VIP会员