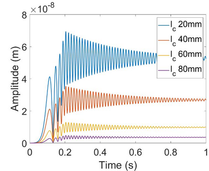
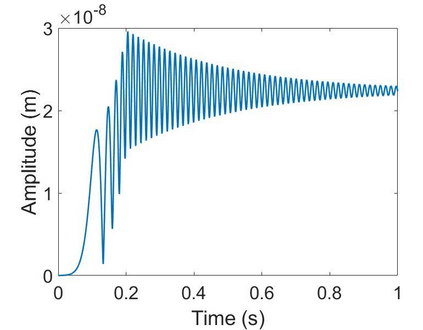
This paper reports a reduced-order modeling framework of bladed disks on a rotating shaft to simulate the vibration signature of faults like cracks in different components aiming towards simulated data-driven machine learning. We have employed lumped and one-dimensional analytical models of the subcomponents for better insight into the complex dynamic response. The framework seeks to address some of the challenges encountered in analyzing and optimizing fault detection and identification schemes for health monitoring of rotating turbomachinery, including aero-engines. We model the bladed disks and shafts by combining lumped elements and one-dimensional finite elements, leading to a coupled system. The simulation results are in good agreement with previously published data. We model the cracks in a blade analytically with their effective reduced stiffness approximation. Multiple types of faults are modeled, including cracks in the blades of single and two-stage bladed disks, Fan Blade Off (FBO), and Foreign Object Damage (FOD). We have applied aero-engine operational loading conditions to simulate realistic scenarios of online health monitoring. The proposed reduced-order simulation framework will have applications in probabilistic signal modeling, machine learning toward fault signature identification, and parameter estimation with measured vibration signals.


翻译:本文报告旋转轴上的刀片磁盘缩放模型框架,以模拟断层的振动信号,如不同组成部分的裂缝,目的是模拟数据驱动机的模拟学习;我们采用了对子组成部分的片状和单维分析模型,以便更好地了解复杂的动态反应;该框架旨在解决在分析和优化对旋转涡轮机包括气动发动机进行故障探测和健康监测的鉴定办法方面所遇到的一些挑战;我们通过将碎块元素和一维有限元素结合起来,模拟碎片和裂缝的振动信号,从而形成一个连接系统;模拟结果与以前公布的数据达成良好协议;我们用有效降低僵硬度的近似法对刀片进行分析,在刀片中模拟裂缝隙;多类故障模型模型,包括单级和两阶段刀片磁盘的刀片、范刀锋off(FBOOO)和外形物体损害(FOD)的裂缝隙。我们运用了节能操作装装饰条件,模拟了在线健康监测的现实情景。拟议中的减序模拟框架将被用于测量振动信号的模型和机器向错误识别。

0
下载
关闭预览

相关内容

ACM/IEEE第23届模型驱动工程语言和系统国际会议,是模型驱动软件和系统工程的首要会议系列,由ACM-SIGSOFT和IEEE-TCSE支持组织。自1998年以来,模型涵盖了建模的各个方面,从语言和方法到工具和应用程序。模特的参加者来自不同的背景,包括研究人员、学者、工程师和工业专业人士。MODELS 2019是一个论坛,参与者可以围绕建模和模型驱动的软件和系统交流前沿研究成果和创新实践经验。今年的版本将为建模社区提供进一步推进建模基础的机会,并在网络物理系统、嵌入式系统、社会技术系统、云计算、大数据、机器学习、安全、开源等新兴领域提出建模的创新应用以及可持续性。 官网链接:http://www.modelsconference.org/
专知会员服务
26+阅读 · 2021年4月2日
【ACML2020】张量网络机器学习:最近的进展和前沿,109页ppt
专知会员服务
55+阅读 · 2020年12月15日
Fariz Darari简明《博弈论Game Theory》介绍,35页ppt
专知会员服务
112+阅读 · 2020年5月15日
【MIT深度学习课程】深度序列建模,Deep Sequence Modeling
专知会员服务
78+阅读 · 2020年2月3日
Stabilizing Transformers for Reinforcement Learning
专知会员服务
60+阅读 · 2019年10月17日
强化学习最新教程,17页pdf
专知会员服务
182+阅读 · 2019年10月11日
LibRec 精选:AutoML for Contextual Bandits
LibRec智能推荐
7+阅读 · 2019年9月19日
Hierarchically Structured Meta-learning
CreateAMind
27+阅读 · 2019年5月22日
强化学习的Unsupervised Meta-Learning
CreateAMind
18+阅读 · 2019年1月7日
A Technical Overview of AI & ML in 2018 & Trends for 2019
待字闺中
18+阅读 · 2018年12月24日
Hierarchical Imitation - Reinforcement Learning
CreateAMind
19+阅读 · 2018年5月25日
Hierarchical Disentangled Representations
CreateAMind
4+阅读 · 2018年4月15日
人工智能 | 国际会议截稿信息9条
Call4Papers
4+阅读 · 2018年3月13日
随波逐流:Similarity-Adaptive and Discrete Optimization
我爱读PAMI
5+阅读 · 2018年2月6日
深度学习医学图像分析文献集
机器学习研究会
19+阅读 · 2017年10月13日
Auto-Encoding GAN
CreateAMind
7+阅读 · 2017年8月4日
Target signatures for thin surfaces
Arxiv
0+阅读 · 2021年10月12日
Arxiv
0+阅读 · 2021年10月12日
Arxiv
6+阅读 · 2021年3月30日
Efficient and Effective $L_0$ Feature Selection
Arxiv
5+阅读 · 2018年8月7日
VIP会员
相关VIP内容
相关资讯
LibRec 精选:AutoML for Contextual Bandits
LibRec智能推荐
7+阅读 · 2019年9月19日
Hierarchically Structured Meta-learning
CreateAMind
27+阅读 · 2019年5月22日
强化学习的Unsupervised Meta-Learning
CreateAMind
18+阅读 · 2019年1月7日
A Technical Overview of AI & ML in 2018 & Trends for 2019
待字闺中
18+阅读 · 2018年12月24日
Hierarchical Imitation - Reinforcement Learning
CreateAMind
19+阅读 · 2018年5月25日
Hierarchical Disentangled Representations
CreateAMind
4+阅读 · 2018年4月15日
人工智能 | 国际会议截稿信息9条
Call4Papers
4+阅读 · 2018年3月13日
随波逐流:Similarity-Adaptive and Discrete Optimization
我爱读PAMI
5+阅读 · 2018年2月6日
深度学习医学图像分析文献集
机器学习研究会
19+阅读 · 2017年10月13日
Auto-Encoding GAN
CreateAMind
7+阅读 · 2017年8月4日
Top
微信扫码咨询专知VIP会员