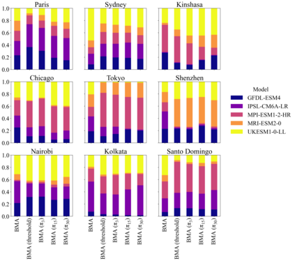
Adaptation-relevant predictions of climate change are often derived by combining climate model simulations in a multi-model ensemble. Model evaluation methods used in performance-based ensemble weighting schemes have limitations in the context of high-impact extreme events. We introduce a locally time-invariant method for evaluating climate model simulations with a focus on assessing the simulation of extremes. We explore the behaviour of the proposed method in predicting extreme heat days in Nairobi and provide comparative results for eight additional cities.


翻译:适应性有关的气候变化预测通常是通过组合多模型模拟得到的。在高影响极端事件的背景下,性能权重方案中使用的模型评估方法存在局限性。我们引入了一种本地时不变的方法来评估气候模型模拟,重点是评估极端事件的模拟。我们探讨了所提出方法在预测内罗毕的极端高温天数方面的行为,并提供了八个其他城市的比较结果。

0
下载
关闭预览

相关内容

因果关联学习,Causal Relational Learning
专知会员服务
185+阅读 · 2020年4月21日
精彩活动丨AI for Graph Computation学术研讨会
图与推荐
1+阅读 · 2022年7月16日
VCIP 2022 Call for Demos
CCF多媒体专委会
1+阅读 · 2022年6月6日
Transferring Knowledge across Learning Processes
CreateAMind
29+阅读 · 2019年5月18日
LibRec 精选:推荐系统的常用数据集
LibRec智能推荐
17+阅读 · 2019年2月15日
【泡泡一分钟】用于评估视觉惯性里程计的TUM VI数据集
泡泡机器人SLAM
11+阅读 · 2019年1月4日
Unsupervised Learning via Meta-Learning
CreateAMind
43+阅读 · 2019年1月3日
A Technical Overview of AI & ML in 2018 & Trends for 2019
待字闺中
18+阅读 · 2018年12月24日
LibRec 精选:推荐系统的论文与源码
LibRec智能推荐
14+阅读 · 2018年11月29日
国家自然科学基金
3+阅读 · 2015年12月31日
国家自然科学基金
0+阅读 · 2015年12月31日
国家自然科学基金
0+阅读 · 2015年12月31日
国家自然科学基金
2+阅读 · 2015年12月31日
国家自然科学基金
0+阅读 · 2013年12月31日
国家自然科学基金
1+阅读 · 2013年12月31日
国家自然科学基金
0+阅读 · 2013年12月31日
国家自然科学基金
0+阅读 · 2011年12月31日
国家自然科学基金
0+阅读 · 2009年12月31日
Arxiv
10+阅读 · 2018年4月19日
VIP会员
相关VIP内容
因果关联学习,Causal Relational Learning
专知会员服务
185+阅读 · 2020年4月21日
相关资讯
精彩活动丨AI for Graph Computation学术研讨会
图与推荐
1+阅读 · 2022年7月16日
VCIP 2022 Call for Demos
CCF多媒体专委会
1+阅读 · 2022年6月6日
Transferring Knowledge across Learning Processes
CreateAMind
29+阅读 · 2019年5月18日
LibRec 精选:推荐系统的常用数据集
LibRec智能推荐
17+阅读 · 2019年2月15日
【泡泡一分钟】用于评估视觉惯性里程计的TUM VI数据集
泡泡机器人SLAM
11+阅读 · 2019年1月4日
Unsupervised Learning via Meta-Learning
CreateAMind
43+阅读 · 2019年1月3日
A Technical Overview of AI & ML in 2018 & Trends for 2019
待字闺中
18+阅读 · 2018年12月24日
LibRec 精选:推荐系统的论文与源码
LibRec智能推荐
14+阅读 · 2018年11月29日
相关基金
国家自然科学基金
3+阅读 · 2015年12月31日
国家自然科学基金
0+阅读 · 2015年12月31日
国家自然科学基金
0+阅读 · 2015年12月31日
国家自然科学基金
2+阅读 · 2015年12月31日
国家自然科学基金
0+阅读 · 2013年12月31日
国家自然科学基金
1+阅读 · 2013年12月31日
国家自然科学基金
0+阅读 · 2013年12月31日
国家自然科学基金
0+阅读 · 2011年12月31日
国家自然科学基金
0+阅读 · 2009年12月31日
Top
微信扫码咨询专知VIP会员