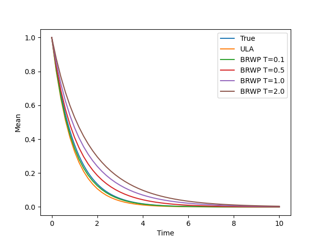
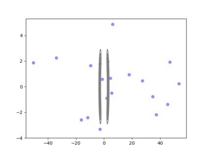
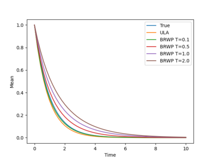
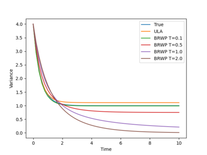
We consider the problem of sampling from a distribution governed by a potential function. This work proposes an explicit score based MCMC method that is deterministic, resulting in a deterministic evolution for particles rather than a stochastic differential equation evolution. The score term is given in closed form by a regularized Wasserstein proximal, using a kernel convolution that is approximated by sampling. We demonstrate fast convergence on various problems and show improved dimensional dependence of mixing time bounds for the case of Gaussian distributions compared to the unadjusted Langevin algorithm (ULA) and the Metropolis-adjusted Langevin algorithm (MALA). We additionally derive closed form expressions for the distributions at each iterate for quadratic potential functions, characterizing the variance reduction. Empirical results demonstrate that the particles behave in an organized manner, lying on level set contours of the potential. Moreover, the posterior mean estimator of the proposed method is shown to be closer to the maximum a-posteriori estimator compared to ULA and MALA in the context of Bayesian logistic regression. Additional examples demonstrate competitive performance for Bayesian neural network training.


翻译:暂无翻译

0
下载
关闭预览

相关内容

FlowQA: Grasping Flow in History for Conversational Machine Comprehension
专知会员服务
34+阅读 · 2019年10月18日
Stabilizing Transformers for Reinforcement Learning
专知会员服务
60+阅读 · 2019年10月17日
Transferring Knowledge across Learning Processes
CreateAMind
29+阅读 · 2019年5月18日
Unsupervised Learning via Meta-Learning
CreateAMind
43+阅读 · 2019年1月3日
STRCF for Visual Object Tracking
统计学习与视觉计算组
15+阅读 · 2018年5月29日
Focal Loss for Dense Object Detection
统计学习与视觉计算组
12+阅读 · 2018年3月15日
IJCAI | Cascade Dynamics Modeling with Attention-based RNN
KingsGarden
13+阅读 · 2017年7月16日
国家自然科学基金
13+阅读 · 2017年12月31日
国家自然科学基金
2+阅读 · 2015年12月31日
国家自然科学基金
2+阅读 · 2015年12月31日
国家自然科学基金
0+阅读 · 2014年12月31日
国家自然科学基金
0+阅读 · 2014年12月31日
Arxiv
0+阅读 · 2023年11月14日
VIP会员
相关资讯
Transferring Knowledge across Learning Processes
CreateAMind
29+阅读 · 2019年5月18日
Unsupervised Learning via Meta-Learning
CreateAMind
43+阅读 · 2019年1月3日
STRCF for Visual Object Tracking
统计学习与视觉计算组
15+阅读 · 2018年5月29日
Focal Loss for Dense Object Detection
统计学习与视觉计算组
12+阅读 · 2018年3月15日
IJCAI | Cascade Dynamics Modeling with Attention-based RNN
KingsGarden
13+阅读 · 2017年7月16日
相关基金
国家自然科学基金
13+阅读 · 2017年12月31日
国家自然科学基金
2+阅读 · 2015年12月31日
国家自然科学基金
2+阅读 · 2015年12月31日
国家自然科学基金
0+阅读 · 2014年12月31日
国家自然科学基金
0+阅读 · 2014年12月31日
Top
微信扫码咨询专知VIP会员