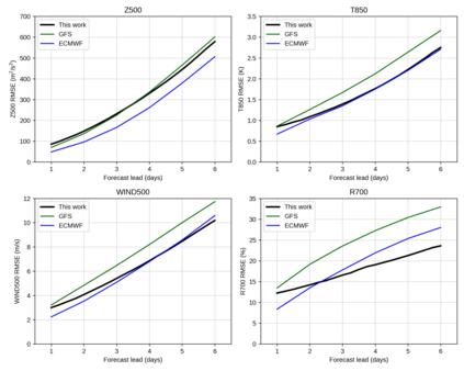
We present a data-driven approach for forecasting global weather using graph neural networks. The system learns to step forward the current 3D atmospheric state by six hours, and multiple steps are chained together to produce skillful forecasts going out several days into the future. The underlying model is trained on reanalysis data from ERA5 or forecast data from GFS. Test performance on metrics such as Z500 (geopotential height) and T850 (temperature) improves upon previous data-driven approaches and is comparable to operational, full-resolution, physical models from GFS and ECMWF, at least when evaluated on 1-degree scales and when using reanalysis initial conditions. We also show results from connecting this data-driven model to live, operational forecasts from GFS.


翻译:该系统学会了将目前的3D大气状态向前推进6小时,并联结了多个步骤,以得出未来数天的熟练预测。基础模型经过培训,从ERA5或GFS的预测数据进行再分析。Z500(地热高度)和T850(温度)等指标的测试性能比以前的数据驱动方法有所改善,并且与GFS和ECMWF的操作性、完全分辨率、物理模型相仿,至少在对1度尺度进行评估和使用再分析初始条件时,我们还展示了将这一数据驱动模型与GFS的运行性预测联系起来的结果。

0
下载
关闭预览

相关内容

GFS 是一个可扩展的分布式文件系统,用于大型的、分布式的、对大量数据进行访问的应用。它运行于廉价的普通硬件上,并提供容错功能。它可以给大量的用户提供总体性能较高的服务。
Linux导论,Introduction to Linux,96页ppt
专知会员服务
82+阅读 · 2020年7月26日
商业数据分析,39页ppt
专知会员服务
165+阅读 · 2020年6月2日
因果图,Causal Graphs,52页ppt
专知会员服务
253+阅读 · 2020年4月19日
强化学习最新教程,17页pdf
专知会员服务
182+阅读 · 2019年10月11日
全球首个GNN为主的AI创业公司,募资$18.5 million!
图与推荐
1+阅读 · 2022年4月16日
【ICIG2021】Check out the hot new trailer of ICIG2021 Symposium8
中国图象图形学学会CSIG
0+阅读 · 2021年11月16日
【ICIG2021】Check out the hot new trailer of ICIG2021 Symposium6
中国图象图形学学会CSIG
2+阅读 · 2021年11月12日
【ICIG2021】Check out the hot new trailer of ICIG2021 Symposium2
中国图象图形学学会CSIG
0+阅读 · 2021年11月8日
Hierarchically Structured Meta-learning
CreateAMind
27+阅读 · 2019年5月22日
A Technical Overview of AI & ML in 2018 & Trends for 2019
待字闺中
18+阅读 · 2018年12月24日
利用动态深度学习预测金融时间序列基于Python
量化投资与机器学习
18+阅读 · 2018年10月30日
Capsule Networks解析
机器学习研究会
11+阅读 · 2017年11月12日
【推荐】RNN/LSTM时序预测
机器学习研究会
25+阅读 · 2017年9月8日
【推荐】(Keras)LSTM多元时序预测教程
机器学习研究会
24+阅读 · 2017年8月14日
国家自然科学基金
0+阅读 · 2015年12月31日
国家自然科学基金
0+阅读 · 2015年12月31日
国家自然科学基金
0+阅读 · 2014年12月31日
国家自然科学基金
0+阅读 · 2014年12月31日
国家自然科学基金
1+阅读 · 2013年12月31日
国家自然科学基金
0+阅读 · 2013年12月31日
国家自然科学基金
0+阅读 · 2012年12月31日
国家自然科学基金
0+阅读 · 2012年12月31日
国家自然科学基金
0+阅读 · 2012年12月31日
国家自然科学基金
1+阅读 · 2011年12月31日
Arxiv
0+阅读 · 2022年4月20日
Arxiv
57+阅读 · 2022年1月5日
Arxiv
13+阅读 · 2021年6月14日
Arxiv
35+阅读 · 2021年1月27日
Financial Time Series Representation Learning
Arxiv
10+阅读 · 2020年3月27日
Arxiv
17+阅读 · 2019年3月28日
Simplifying Graph Convolutional Networks
Arxiv
12+阅读 · 2019年2月19日
VIP会员
相关VIP内容
Linux导论,Introduction to Linux,96页ppt
专知会员服务
82+阅读 · 2020年7月26日
商业数据分析,39页ppt
专知会员服务
165+阅读 · 2020年6月2日
因果图,Causal Graphs,52页ppt
专知会员服务
253+阅读 · 2020年4月19日
强化学习最新教程,17页pdf
专知会员服务
182+阅读 · 2019年10月11日
相关资讯
全球首个GNN为主的AI创业公司,募资$18.5 million!
图与推荐
1+阅读 · 2022年4月16日
【ICIG2021】Check out the hot new trailer of ICIG2021 Symposium8
中国图象图形学学会CSIG
0+阅读 · 2021年11月16日
【ICIG2021】Check out the hot new trailer of ICIG2021 Symposium6
中国图象图形学学会CSIG
2+阅读 · 2021年11月12日
【ICIG2021】Check out the hot new trailer of ICIG2021 Symposium2
中国图象图形学学会CSIG
0+阅读 · 2021年11月8日
Hierarchically Structured Meta-learning
CreateAMind
27+阅读 · 2019年5月22日
A Technical Overview of AI & ML in 2018 & Trends for 2019
待字闺中
18+阅读 · 2018年12月24日
利用动态深度学习预测金融时间序列基于Python
量化投资与机器学习
18+阅读 · 2018年10月30日
Capsule Networks解析
机器学习研究会
11+阅读 · 2017年11月12日
【推荐】RNN/LSTM时序预测
机器学习研究会
25+阅读 · 2017年9月8日
【推荐】(Keras)LSTM多元时序预测教程
机器学习研究会
24+阅读 · 2017年8月14日
相关论文
Arxiv
0+阅读 · 2022年4月20日
Arxiv
57+阅读 · 2022年1月5日
Arxiv
13+阅读 · 2021年6月14日
Arxiv
35+阅读 · 2021年1月27日
Financial Time Series Representation Learning
Arxiv
10+阅读 · 2020年3月27日
Arxiv
17+阅读 · 2019年3月28日
Simplifying Graph Convolutional Networks
Arxiv
12+阅读 · 2019年2月19日
相关基金
国家自然科学基金
0+阅读 · 2015年12月31日
国家自然科学基金
0+阅读 · 2015年12月31日
国家自然科学基金
0+阅读 · 2014年12月31日
国家自然科学基金
0+阅读 · 2014年12月31日
国家自然科学基金
1+阅读 · 2013年12月31日
国家自然科学基金
0+阅读 · 2013年12月31日
国家自然科学基金
0+阅读 · 2012年12月31日
国家自然科学基金
0+阅读 · 2012年12月31日
国家自然科学基金
0+阅读 · 2012年12月31日
国家自然科学基金
1+阅读 · 2011年12月31日
Top
微信扫码咨询专知VIP会员