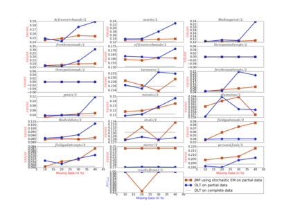
Relational autocompletion is the problem of automatically filling out some missing values in multi-relational data. We tackle this problem within the probabilistic logic programming framework of Distributional Clauses (DC), which supports both discrete and continuous probability distributions. Within this framework, we introduce DiceML { an approach to learn both the structure and the parameters of DC programs from relational data (with possibly missing data). To realize this, DiceML integrates statistical modeling and distributional clauses with rule learning. The distinguishing features of DiceML are that it 1) tackles autocompletion in relational data, 2) learns distributional clauses extended with statistical models, 3) deals with both discrete and continuous distributions, 4) can exploit background knowledge, and 5) uses an expectation-maximization based algorithm to cope with missing data. The empirical results show the promise of the approach, even when there is missing data.


翻译:关系自动完成是自动填充多关系数据中某些缺失值的问题。 我们在分配条款(DC)的概率逻辑逻辑编程框架内解决这一问题,它既支持离散的概率分布,又支持连续的概率分布。在此框架内,我们引入了 DiceML { 方法,从关系数据(可能缺少数据)中学习DC方案的结构和参数。为了实现这一点, DiceML 将统计模型和分配条款与规则学习结合起来。 DiceML 的显著特征是:(1) 处理关系数据的自动完成,(2) 学习与统计模型相扩展的分配条款,(3) 处理离散和连续的分布,(4) 利用背景知识,(5) 使用基于期望的算法处理缺失数据。经验结果显示这一方法的前景,即使缺少数据。

0
下载
关闭预览

相关内容

让 iOS 8 和 OS X Yosemite 无缝切换的一个新特性。 > Apple products have always been designed to work together beautifully. But now they may really surprise you. With iOS 8 and OS X Yosemite, you’ll be able to do more wonderful things than ever before.

Source: Apple - iOS 8
【图与几何深度学习】Graph and geometric deep learning,49页ppt
专知会员服务
42+阅读 · 2021年4月2日
Python分布式计算,171页pdf,Distributed Computing with Python
专知会员服务
108+阅读 · 2020年5月3日
因果关联学习,Causal Relational Learning
专知会员服务
185+阅读 · 2020年4月21日
【哈佛大学商学院课程Fall 2019】机器学习可解释性
专知会员服务
105+阅读 · 2019年10月9日
Hierarchically Structured Meta-learning
CreateAMind
27+阅读 · 2019年5月22日
Transferring Knowledge across Learning Processes
CreateAMind
29+阅读 · 2019年5月18日
强化学习的Unsupervised Meta-Learning
CreateAMind
18+阅读 · 2019年1月7日
Unsupervised Learning via Meta-Learning
CreateAMind
43+阅读 · 2019年1月3日
Zero-Shot Learning相关资源大列表
专知
52+阅读 · 2019年1月1日
Disentangled的假设的探讨
CreateAMind
9+阅读 · 2018年12月10日
disentangled-representation-papers
CreateAMind
26+阅读 · 2018年9月12日
Hierarchical Disentangled Representations
CreateAMind
4+阅读 · 2018年4月15日
Auto-Encoding GAN
CreateAMind
7+阅读 · 2017年8月4日
Andrew NG的新书《Machine Learning Yearning》
我爱机器学习
11+阅读 · 2016年12月7日
Advances and Open Problems in Federated Learning
Arxiv
18+阅读 · 2019年12月10日
Arxiv
3+阅读 · 2018年8月27日
VIP会员
相关资讯
Hierarchically Structured Meta-learning
CreateAMind
27+阅读 · 2019年5月22日
Transferring Knowledge across Learning Processes
CreateAMind
29+阅读 · 2019年5月18日
强化学习的Unsupervised Meta-Learning
CreateAMind
18+阅读 · 2019年1月7日
Unsupervised Learning via Meta-Learning
CreateAMind
43+阅读 · 2019年1月3日
Zero-Shot Learning相关资源大列表
专知
52+阅读 · 2019年1月1日
Disentangled的假设的探讨
CreateAMind
9+阅读 · 2018年12月10日
disentangled-representation-papers
CreateAMind
26+阅读 · 2018年9月12日
Hierarchical Disentangled Representations
CreateAMind
4+阅读 · 2018年4月15日
Auto-Encoding GAN
CreateAMind
7+阅读 · 2017年8月4日
Andrew NG的新书《Machine Learning Yearning》
我爱机器学习
11+阅读 · 2016年12月7日
Top
微信扫码咨询专知VIP会员