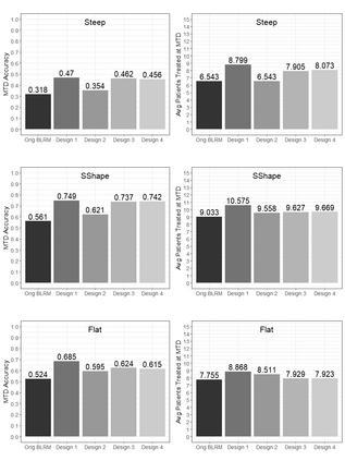
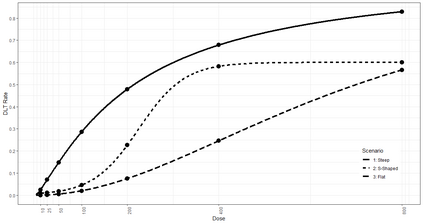
An accurately identified maximum tolerated dose (MTD) serves as the cornerstone of successful subsequent phases in oncology drug development. Bayesian logistic regression model (BLRM) is a popular and versatile model-based dose-finding design. However, BLRM with original overdose control strategy has been reported to be safe but "excessively conservative". In this manuscript, we investigate the reason for conservativeness and point out that a major reason could be the lack of appropriate underdose control. We propose designs that balance overdose and underdose control to improve the performance over original BLRM. Simulation results reveal that the new designs have better accuracy and treat more patients at MTD.


翻译:准确确定的最高耐用剂量(MTD)是肿瘤药物开发成功后续阶段的基石。巴伊西亚物流回归模型(BLRM)是一种广受欢迎的多功能模型剂量调查设计。然而,据报告,原剂量过量控制战略的BLRM是安全的,但“过于保守 ” 。在本稿中,我们调查保守的原因,指出一个主要原因可能是缺乏适当的剂量控制。我们提出了平衡过量和剂量不足控制的设计,以提高比原剂量控制机制的性能。模拟结果显示,新设计更加准确,在MTD治疗更多的病人。

0
下载
关闭预览

相关内容

【干货书】机器学习速查手册,135页pdf
专知会员服务
127+阅读 · 2020年11月20日
【干货书】机器学习Primer,122页pdf
专知会员服务
109+阅读 · 2020年10月5日
【经典书】贝叶斯编程,378页pdf,Bayesian Programming
专知会员服务
250+阅读 · 2020年5月18日
因果图,Causal Graphs,52页ppt
专知会员服务
253+阅读 · 2020年4月19日
强化学习最新教程,17页pdf
专知会员服务
182+阅读 · 2019年10月11日
【SIGGRAPH2019】TensorFlow 2.0深度学习计算机图形学应用
专知会员服务
41+阅读 · 2019年10月9日
已删除
将门创投
5+阅读 · 2018年1月24日
Arxiv
0+阅读 · 2021年7月3日
Arxiv
0+阅读 · 2021年7月2日
VIP会员
相关VIP内容
【干货书】机器学习速查手册,135页pdf
专知会员服务
127+阅读 · 2020年11月20日
【干货书】机器学习Primer,122页pdf
专知会员服务
109+阅读 · 2020年10月5日
【经典书】贝叶斯编程,378页pdf,Bayesian Programming
专知会员服务
250+阅读 · 2020年5月18日
因果图,Causal Graphs,52页ppt
专知会员服务
253+阅读 · 2020年4月19日
强化学习最新教程,17页pdf
专知会员服务
182+阅读 · 2019年10月11日
【SIGGRAPH2019】TensorFlow 2.0深度学习计算机图形学应用
专知会员服务
41+阅读 · 2019年10月9日
相关资讯
已删除
将门创投
5+阅读 · 2018年1月24日
Top
微信扫码咨询专知VIP会员