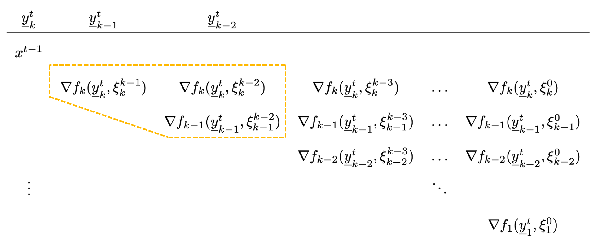
Recently, convex nested stochastic composite optimization (NSCO) has received considerable attention for its applications in reinforcement learning and risk-averse optimization. The current NSCO algorithms have worse stochastic oracle complexities, by orders of magnitude, than those for simpler stochastic composite optimization problems (e.g., sum of smooth and nonsmooth functions) without the nested structure. Moreover, they require all outer-layer functions to be smooth, which is not satisfied by some important applications. These discrepancies prompt us to ask: ``does the nested composition make stochastic optimization more difficult in terms of the order of oracle complexity?" In this paper, we answer the question by developing order-optimal algorithms for the convex NSCO problem constructed from an arbitrary composition of smooth, structured non-smooth and general non-smooth layer functions. When all outer-layer functions are smooth, we propose a stochastic sequential dual (SSD) method to achieve an oracle complexity of $\mathcal{O}(1/\epsilon^2)$ ($\mathcal{O}(1/\epsilon)$) when the problem is non-strongly (strongly) convex. When there exists some structured non-smooth or general non-smooth outer-layer function, we propose a nonsmooth stochastic sequential dual (nSSD) method to achieve an oracle complexity of $\mathcal{O}(1/\epsilon^2)$. We provide a lower complexity bound to show the latter $\mathcal{O}(1/\epsilon^2)$ complexity to be unimprovable even under a strongly convex setting. All these complexity results seem to be new in the literature and they indicate that the convex NSCO problem has the same order of oracle complexity as those without the nested composition in all but the strongly convex and outer-non-smooth problem.


翻译:最近, convex 嵌入式复合优化( NSCO) 因其在强化学习和风险反向优化方面的应用而得到了相当的关注。 目前的 NSCO 算法在数量上比在不嵌入结构的情况下, 更简单的随机混合优化问题( 例如, 平滑和不移动功能的总和) 。 此外, 它们要求所有外层功能都平滑, 但有些重要应用程序无法满足 。 这些差异促使我们询问 : " 使嵌入式的构成使得在奥氏复杂程度方面更难进行随机优化? 在本文件中,我们通过为NSCO 问题建立更简单、 结构化、 平滑和一般非移动的复合优化 。 当所有外层功能都平滑时, 我们建议一种直系性双层( SSD) 方法, 以达到 $( 1/ epcial) 的新的复杂程度 。 (\\\ lical=2) 美元( 美元) 和 直系非直径( roal) 直径( roal) rodeal) 的不具有非直径( ro) 直径( ro) 直径解( 直径解) 或直径解( 直径解) 直径解) 直系) 的功能, 的不具有非硬 直径解( 直系) 直系) 。

0
下载
关闭预览

相关内容

不可错过!《机器学习100讲》课程,UBC Mark Schmidt讲授
专知会员服务
76+阅读 · 2022年6月28日
南大《优化方法 (Optimization Methods》课程,推荐!
专知会员服务
80+阅读 · 2022年4月3日
专知会员服务
26+阅读 · 2021年4月2日
专知会员服务
51+阅读 · 2020年12月14日
强化学习最新教程,17页pdf
专知会员服务
182+阅读 · 2019年10月11日
征稿 | CFP:Special Issue of NLP and KG(JCR Q2,IF2.67)
开放知识图谱
1+阅读 · 2022年4月4日
IEEE ICKG 2022: Call for Papers
机器学习与推荐算法
3+阅读 · 2022年3月30日
ACM MM 2022 Call for Papers
CCF多媒体专委会
5+阅读 · 2022年3月29日
Hierarchically Structured Meta-learning
CreateAMind
27+阅读 · 2019年5月22日
Transferring Knowledge across Learning Processes
CreateAMind
29+阅读 · 2019年5月18日
ICLR2019最佳论文出炉
专知
12+阅读 · 2019年5月6日
Unsupervised Learning via Meta-Learning
CreateAMind
43+阅读 · 2019年1月3日
A Technical Overview of AI & ML in 2018 & Trends for 2019
待字闺中
18+阅读 · 2018年12月24日
Capsule Networks解析
机器学习研究会
11+阅读 · 2017年11月12日
国家自然科学基金
0+阅读 · 2014年12月31日
国家自然科学基金
1+阅读 · 2014年12月31日
国家自然科学基金
0+阅读 · 2013年12月31日
国家自然科学基金
0+阅读 · 2013年12月31日
国家自然科学基金
0+阅读 · 2013年12月31日
国家自然科学基金
0+阅读 · 2013年12月31日
国家自然科学基金
0+阅读 · 2012年12月31日
国家自然科学基金
0+阅读 · 2011年12月31日
国家自然科学基金
0+阅读 · 2009年12月31日
VIP会员
相关资讯
征稿 | CFP:Special Issue of NLP and KG(JCR Q2,IF2.67)
开放知识图谱
1+阅读 · 2022年4月4日
IEEE ICKG 2022: Call for Papers
机器学习与推荐算法
3+阅读 · 2022年3月30日
ACM MM 2022 Call for Papers
CCF多媒体专委会
5+阅读 · 2022年3月29日
Hierarchically Structured Meta-learning
CreateAMind
27+阅读 · 2019年5月22日
Transferring Knowledge across Learning Processes
CreateAMind
29+阅读 · 2019年5月18日
ICLR2019最佳论文出炉
专知
12+阅读 · 2019年5月6日
Unsupervised Learning via Meta-Learning
CreateAMind
43+阅读 · 2019年1月3日
A Technical Overview of AI & ML in 2018 & Trends for 2019
待字闺中
18+阅读 · 2018年12月24日
Capsule Networks解析
机器学习研究会
11+阅读 · 2017年11月12日
相关基金
国家自然科学基金
0+阅读 · 2014年12月31日
国家自然科学基金
1+阅读 · 2014年12月31日
国家自然科学基金
0+阅读 · 2013年12月31日
国家自然科学基金
0+阅读 · 2013年12月31日
国家自然科学基金
0+阅读 · 2013年12月31日
国家自然科学基金
0+阅读 · 2013年12月31日
国家自然科学基金
0+阅读 · 2012年12月31日
国家自然科学基金
0+阅读 · 2011年12月31日
国家自然科学基金
0+阅读 · 2009年12月31日
Top
微信扫码咨询专知VIP会员