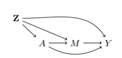
The past decade has seen an explosion of research in causal mediation analysis. However, most analytic tools developed so far rely on frequentist methods which may not be robust in the case of small sample sizes. In this paper, we propose a Bayesian approach for causal mediation analysis based on Bayesian g-formula. We created BayesGmed, an R-package for fitting Bayesian mediation models in R. The application of the methodology (and software tool) is demonstrated by a secondary analysis of data collected as part of the MUSICIAN study, a randomised controlled trial of remotely delivered cognitive behavioural therapy (tCBT) for people with chronic pain. We tested the hypothesis that the effect of tCBT would be mediated by improvements in active coping, passive coping, fear of movement and sleep problems. The analysis of MUSICIAN data shows that tCBT has better-improved patients' self-perceived change in health status compared to treatment as usual (TAU). The adjusted log-odds of tCBT compared to TAU range from 1.491 (0.452, 2.612) when adjusted for sleep problems to 2.264 (1.063, 3.610) when adjusted for fear of movement. Higher scores of fear of movement (log-odds, -0.141 (-0.245, -0.048)), passive coping (log-odds, -0.217 (-0.351, -0.104)), and sleep problem (log-odds, -0.179 (-0.291, -0.078)) leads to lower odds of a positive self-perceived change in health status. The result of BayesGmed, however, shows that none of the mediated effects are statistically significant. We compared BayesGmed with the mediation R package, and the results were comparable. Finally, our probabilistic sensitivity analysis using the BayesGmed tool shows that the direct and total effect of tCBT persists even for a large departure in the assumption of no unmeasured confounding.


翻译:过去十年来,对因果调解分析进行了大量研究,然而,迄今为止开发的大多数分析工具都依赖于频率分析方法,这些方法在抽样规模小的情况下可能并不可靠。在本文件中,我们提议采用巴伊西亚方法进行因果调解分析。我们创建了BayesGmed,这是用于安装Bayesian调解模型的R包。 方法(和软件工具)的应用表现在对作为MUSICIAN研究一部分而收集的数据进行的二次分析中,这是对远程为长期疼痛者提供的认知行为治疗(TCCBT)的随机控制试验。我们测试了一种假设,即根据Bayesdiag-formala,被动地应对,担心行动和睡眠问题。我们创建了BayesGmed。我们的数据分析显示,与通常的治疗相比,我们的健康状况的自我认知变化更为明显(TAUAU), 与远程交付的认知行为治疗(tCBT)的对调控测试(tCBT),从1.491 0.452, 和 2.60G(G) 变化的自我意识变化的结果,但经调整后显示为:3.06-d) 的自我变化为3.10的自我变化,, 变化为3.61变化为2.20;, 变化的结果为3. 变化为3.10; 变化为3. 。

0
下载
关闭预览

相关内容

Keras François Chollet 《Deep Learning with Python 》, 386页pdf
专知会员服务
161+阅读 · 2019年10月12日
强化学习最新教程,17页pdf
专知会员服务
182+阅读 · 2019年10月11日
机器学习入门的经验与建议
专知会员服务
94+阅读 · 2019年10月10日
【哈佛大学商学院课程Fall 2019】机器学习可解释性
专知会员服务
105+阅读 · 2019年10月9日
ACM MM 2022 Call for Papers
CCF多媒体专委会
5+阅读 · 2022年3月29日
IEEE TII Call For Papers
CCF多媒体专委会
3+阅读 · 2022年3月24日
ACM TOMM Call for Papers
CCF多媒体专委会
2+阅读 · 2022年3月23日
AIART 2022 Call for Papers
CCF多媒体专委会
1+阅读 · 2022年2月13日
【ICIG2021】Latest News & Announcements of the Tutorial
中国图象图形学学会CSIG
3+阅读 · 2021年12月20日
【ICIG2021】Latest News & Announcements of the Workshop
中国图象图形学学会CSIG
0+阅读 · 2021年12月20日
【ICIG2021】Latest News & Announcements of the Plenary Talk2
中国图象图形学学会CSIG
0+阅读 · 2021年11月2日
【ICIG2021】Latest News & Announcements of the Plenary Talk1
中国图象图形学学会CSIG
0+阅读 · 2021年11月1日
Hierarchically Structured Meta-learning
CreateAMind
27+阅读 · 2019年5月22日
A Technical Overview of AI & ML in 2018 & Trends for 2019
待字闺中
18+阅读 · 2018年12月24日
国家自然科学基金
0+阅读 · 2017年12月31日
国家自然科学基金
2+阅读 · 2017年12月31日
国家自然科学基金
3+阅读 · 2015年12月31日
国家自然科学基金
0+阅读 · 2013年12月31日
国家自然科学基金
0+阅读 · 2012年12月31日
国家自然科学基金
0+阅读 · 2012年12月31日
国家自然科学基金
0+阅读 · 2011年12月31日
国家自然科学基金
0+阅读 · 2009年12月31日
国家自然科学基金
0+阅读 · 2009年12月31日
Arxiv
14+阅读 · 2022年10月15日
Arxiv
45+阅读 · 2022年9月19日
Arxiv
23+阅读 · 2022年2月24日
VIP会员
相关VIP内容
相关资讯
ACM MM 2022 Call for Papers
CCF多媒体专委会
5+阅读 · 2022年3月29日
IEEE TII Call For Papers
CCF多媒体专委会
3+阅读 · 2022年3月24日
ACM TOMM Call for Papers
CCF多媒体专委会
2+阅读 · 2022年3月23日
AIART 2022 Call for Papers
CCF多媒体专委会
1+阅读 · 2022年2月13日
【ICIG2021】Latest News & Announcements of the Tutorial
中国图象图形学学会CSIG
3+阅读 · 2021年12月20日
【ICIG2021】Latest News & Announcements of the Workshop
中国图象图形学学会CSIG
0+阅读 · 2021年12月20日
【ICIG2021】Latest News & Announcements of the Plenary Talk2
中国图象图形学学会CSIG
0+阅读 · 2021年11月2日
【ICIG2021】Latest News & Announcements of the Plenary Talk1
中国图象图形学学会CSIG
0+阅读 · 2021年11月1日
Hierarchically Structured Meta-learning
CreateAMind
27+阅读 · 2019年5月22日
A Technical Overview of AI & ML in 2018 & Trends for 2019
待字闺中
18+阅读 · 2018年12月24日
相关基金
国家自然科学基金
0+阅读 · 2017年12月31日
国家自然科学基金
2+阅读 · 2017年12月31日
国家自然科学基金
3+阅读 · 2015年12月31日
国家自然科学基金
0+阅读 · 2013年12月31日
国家自然科学基金
0+阅读 · 2012年12月31日
国家自然科学基金
0+阅读 · 2012年12月31日
国家自然科学基金
0+阅读 · 2011年12月31日
国家自然科学基金
0+阅读 · 2009年12月31日
国家自然科学基金
0+阅读 · 2009年12月31日
Top
微信扫码咨询专知VIP会员