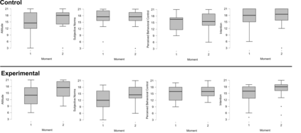
Pressure for higher productivity and faster delivery is increasingly pervading software organizations. This can lead software engineers to act like chess players playing a gambit -- making sacrifices of their technically sound estimates, thus submitting their teams to time pressure. In turn, time pressure can have varied detrimental effects, such as poor product quality and emotional distress, decreasing productivity, which leads to more time pressure and delays: a hard-to-stop vicious cycle. This reveals a need for moving on from the more passive strategy of yielding to pressure to a more active one of defending software estimates. Therefore, we propose an approach to support software estimators in acquiring knowledge on how to carry out such defense, by introducing negotiation principles encapsulated in a set of defense lenses, presented through a digital simulation. We evaluated the proposed approach through a controlled experiment with software practitioners from different companies. We collected data on participants' attitudes, subjective norms, perceived behavioral control, and intentions to perform the defense of their estimates in light of the Theory of Planned Behavior. We employed a frequentist and a bayesian approach to data analysis. Results show improved scores among experimental group participants after engaging with the digital simulation and learning about the lenses. They were also more inclined to choose a defense action when facing pressure scenarios than a control group exposed to questions to reflect on the reasons and outcomes of pressure over estimates. Qualitative evidence reveals that practitioners perceived the set of lenses as useful in their current work environments. Collectively, these results show the effectiveness of the proposed approach and its perceived relevance for the industry, despite the low amount of time required to engage with it.


翻译:生产率提高和交付速度加快的压力日益渗透到软件组织中。这可以导致软件工程师像象象棋选手那样玩花招 -- -- 牺牲其技术上合理的估计,从而使其团队面临时间压力。反过来,时间压力可能会产生各种有害影响,例如产品质量差和情绪紧张,生产率下降,导致时间压力和延误增加:难以阻止的恶性循环。这表明需要从更被动的向压力屈服的战略转向更积极的维护软件估计的方法。因此,我们提出一种方法,支持软件估计者获得如何进行这种防御的知识,方法是采用一套包含在防御镜头中的谈判原则,通过数字模拟展示。我们通过与不同公司的软件从业者进行控制性实验,评估了拟议的方法。我们收集了参与者态度、主观规范、行为控制感知和意图的数据,以便根据“计划”的理论来维护其估计值。我们采用了一种经常使用的方法和刺客的方法。结果显示试验组参与者在与数字模拟相比,对压力估计值的数值进行对比后,提高了其价值。我们通过对数字模拟和透视镜头后学习了它们所理解的结果。他们选择了一种对数字压力判断的结果。

0
下载
关闭预览

相关内容

专知会员服务
41+阅读 · 2020年9月6日
强化学习最新教程,17页pdf
专知会员服务
182+阅读 · 2019年10月11日
[综述]深度学习下的场景文本检测与识别
专知会员服务
78+阅读 · 2019年10月10日
【SIGGRAPH2019】TensorFlow 2.0深度学习计算机图形学应用
专知会员服务
41+阅读 · 2019年10月9日
VCIP 2022 Call for Demos
CCF多媒体专委会
1+阅读 · 2022年6月6日
Hierarchically Structured Meta-learning
CreateAMind
27+阅读 · 2019年5月22日
Transferring Knowledge across Learning Processes
CreateAMind
29+阅读 · 2019年5月18日
强化学习的Unsupervised Meta-Learning
CreateAMind
18+阅读 · 2019年1月7日
Unsupervised Learning via Meta-Learning
CreateAMind
43+阅读 · 2019年1月3日
A Technical Overview of AI & ML in 2018 & Trends for 2019
待字闺中
18+阅读 · 2018年12月24日
disentangled-representation-papers
CreateAMind
26+阅读 · 2018年9月12日
vae 相关论文 表示学习 1
CreateAMind
12+阅读 · 2018年9月6日
【SIGIR2018】五篇对抗训练文章
专知
12+阅读 · 2018年7月9日
【推荐】用Python/OpenCV实现增强现实
机器学习研究会
15+阅读 · 2017年11月16日
国家自然科学基金
0+阅读 · 2013年12月31日
国家自然科学基金
1+阅读 · 2012年12月31日
国家自然科学基金
0+阅读 · 2012年12月31日
国家自然科学基金
0+阅读 · 2012年12月31日
国家自然科学基金
0+阅读 · 2011年12月31日
国家自然科学基金
0+阅读 · 2011年12月31日
国家自然科学基金
0+阅读 · 2009年12月31日
国家自然科学基金
1+阅读 · 2008年12月31日
国家自然科学基金
0+阅读 · 2008年12月31日
VIP会员
相关资讯
VCIP 2022 Call for Demos
CCF多媒体专委会
1+阅读 · 2022年6月6日
Hierarchically Structured Meta-learning
CreateAMind
27+阅读 · 2019年5月22日
Transferring Knowledge across Learning Processes
CreateAMind
29+阅读 · 2019年5月18日
强化学习的Unsupervised Meta-Learning
CreateAMind
18+阅读 · 2019年1月7日
Unsupervised Learning via Meta-Learning
CreateAMind
43+阅读 · 2019年1月3日
A Technical Overview of AI & ML in 2018 & Trends for 2019
待字闺中
18+阅读 · 2018年12月24日
disentangled-representation-papers
CreateAMind
26+阅读 · 2018年9月12日
vae 相关论文 表示学习 1
CreateAMind
12+阅读 · 2018年9月6日
【SIGIR2018】五篇对抗训练文章
专知
12+阅读 · 2018年7月9日
【推荐】用Python/OpenCV实现增强现实
机器学习研究会
15+阅读 · 2017年11月16日
相关基金
国家自然科学基金
0+阅读 · 2013年12月31日
国家自然科学基金
1+阅读 · 2012年12月31日
国家自然科学基金
0+阅读 · 2012年12月31日
国家自然科学基金
0+阅读 · 2012年12月31日
国家自然科学基金
0+阅读 · 2011年12月31日
国家自然科学基金
0+阅读 · 2011年12月31日
国家自然科学基金
0+阅读 · 2009年12月31日
国家自然科学基金
1+阅读 · 2008年12月31日
国家自然科学基金
0+阅读 · 2008年12月31日
Top
微信扫码咨询专知VIP会员