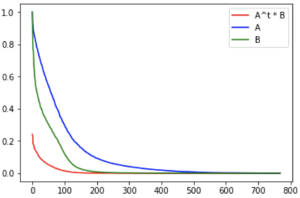
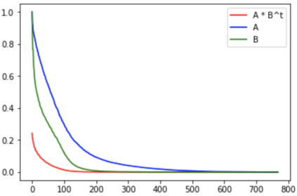
Transformer architectures show significant promise for natural language processing. Given that a single pretrained model can be fine-tuned to perform well on many different tasks, these networks appear to extract generally useful linguistic features. A natural question is how such networks represent this information internally. This paper describes qualitative and quantitative investigations of one particularly effective model, BERT. At a high level, linguistic features seem to be represented in separate semantic and syntactic subspaces. We find evidence of a fine-grained geometric representation of word senses. We also present empirical descriptions of syntactic representations in both attention matrices and individual word embeddings, as well as a mathematical argument to explain the geometry of these representations.


翻译:变换器结构显示了自然语言处理的巨大前景。鉴于单一的预演模型可以进行微调,以很好地完成许多不同的任务,这些网络似乎可以提取出普遍有用的语言特征。一个自然的问题是这类网络如何在内部代表这种信息。本文描述了对一个特别有效的模型BERT的定性和定量调查。在高层次上,语言特征似乎在不同的语义和合成亚空间中表现。我们发现了一个精细的文字感学几何表示法的证据。我们还在关注矩阵和单个单词嵌入中介绍了综合法表达法的经验性描述,以及解释这些表达法的几何性的数学论证。

7
下载
关闭预览

相关内容

BERT全称Bidirectional Encoder Representations from Transformers,是预训练语言表示的方法,可以在大型文本语料库(如维基百科)上训练通用的“语言理解”模型,然后将该模型用于下游NLP任务,比如机器翻译、问答。
【课程推荐】 深度学习中的几何(Geometry of Deep Learning)
专知会员服务
59+阅读 · 2019年11月10日
【Google论文】ALBERT:自我监督学习语言表达的精简BERT
专知会员服务
24+阅读 · 2019年11月4日
Stabilizing Transformers for Reinforcement Learning
专知会员服务
60+阅读 · 2019年10月17日
ExBert — 可视化分析Transformer学到的表示
专知会员服务
32+阅读 · 2019年10月16日
【哈佛大学商学院课程Fall 2019】机器学习可解释性
专知会员服务
105+阅读 · 2019年10月9日
ACL 2019 | 理解 BERT 每一层都学到了什么
AI科技评论
9+阅读 · 2019年9月4日
计算机 | IUI 2020等国际会议信息4条
Call4Papers
6+阅读 · 2019年6月17日
PyTorch & PyTorch Geometric图神经网络(GNN)实战
专知
81+阅读 · 2019年6月1日
A Technical Overview of AI & ML in 2018 & Trends for 2019
待字闺中
18+阅读 · 2018年12月24日
Disentangled的假设的探讨
CreateAMind
9+阅读 · 2018年12月10日
disentangled-representation-papers
CreateAMind
26+阅读 · 2018年9月12日
人工智能 | 国际会议/SCI期刊约稿信息9条
Call4Papers
3+阅读 · 2018年1月12日
Auto-Encoding GAN
CreateAMind
7+阅读 · 2017年8月4日
【今日新增】IEEE Trans.专刊截稿信息8条
Call4Papers
7+阅读 · 2017年6月29日
Arxiv
5+阅读 · 2019年10月31日
Geometric Graph Convolutional Neural Networks
Arxiv
10+阅读 · 2019年9月11日
Revealing the Dark Secrets of BERT
Arxiv
4+阅读 · 2019年9月11日
Arxiv
20+阅读 · 2019年9月7日
Arxiv
4+阅读 · 2019年9月5日
Arxiv
9+阅读 · 2018年3月28日
VIP会员
相关资讯
ACL 2019 | 理解 BERT 每一层都学到了什么
AI科技评论
9+阅读 · 2019年9月4日
计算机 | IUI 2020等国际会议信息4条
Call4Papers
6+阅读 · 2019年6月17日
PyTorch & PyTorch Geometric图神经网络(GNN)实战
专知
81+阅读 · 2019年6月1日
A Technical Overview of AI & ML in 2018 & Trends for 2019
待字闺中
18+阅读 · 2018年12月24日
Disentangled的假设的探讨
CreateAMind
9+阅读 · 2018年12月10日
disentangled-representation-papers
CreateAMind
26+阅读 · 2018年9月12日
人工智能 | 国际会议/SCI期刊约稿信息9条
Call4Papers
3+阅读 · 2018年1月12日
Auto-Encoding GAN
CreateAMind
7+阅读 · 2017年8月4日
【今日新增】IEEE Trans.专刊截稿信息8条
Call4Papers
7+阅读 · 2017年6月29日
相关论文
Arxiv
5+阅读 · 2019年10月31日
Geometric Graph Convolutional Neural Networks
Arxiv
10+阅读 · 2019年9月11日
Revealing the Dark Secrets of BERT
Arxiv
4+阅读 · 2019年9月11日
Arxiv
20+阅读 · 2019年9月7日
Arxiv
4+阅读 · 2019年9月5日
Arxiv
9+阅读 · 2018年3月28日
Top
微信扫码咨询专知VIP会员