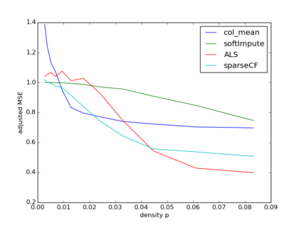
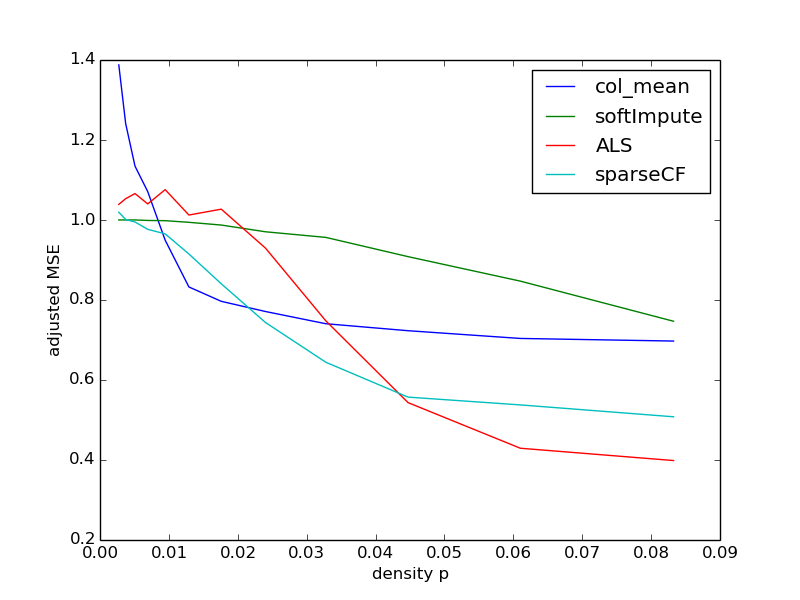
We consider sparse matrix estimation where the goal is to estimate an $n\times n$ matrix from noisy observations of a small subset of its entries. We analyze the estimation error of the popularly utilized collaborative filtering algorithm for the sparse regime. Specifically, we propose a novel iterative variant of the algorithm, adapted to handle the setting of sparse observations. We establish that as long as the fraction of entries observed at random scale as $\frac{\log^{1+\kappa}(n)}{n}$ for any fixed $\kappa > 0$, the estimation error with respect to the $\max$-norm decays to $0$ as $n\to\infty$ assuming the underlying matrix of interest has constant rank $r$. Our result is robust to model mis-specification in that if the underlying matrix is approximately rank $r$, then the estimation error decays to the approximate error with respect to the $\max$-norm. In the process, we establish algorithm's ability to handle arbitrary bounded noise in the observations.


翻译:我们考虑的是稀少的矩阵估计,其中的目标是从对一小部分条目的杂音观测中估算一个美元=10美元=10美元=10美元=10美元=10美元=10美元=10美元=10美元=10美元=10美元=10美元=10美元=10美元=10美元=10美元=10美元=10美元=10美元=10美元=10美元=10美元=10美元=10美元=10美元=10美元=10美元=10美元=10美元=0=10=10=10=10=10=10=10=10=10=10=10=10=10=10=10=10=10=10=10=10=10=10=10=10=10=10=10=10=10=10=10=10=10=10=10=10=10=10=10=10=10=10=10=10=10=13=10=10=10=10=10=10=10=10=10=10=10=10=10=10=10=10=10=10=10=10=10=10=10=10=10=10=10=10=10=10=10=10=10=10=10=10=10=10=10=10=10=10=10=10=10=10=10=10=10=10=10=10=10=10=10=10=10=10=10=10=10=10=10=10=10=10=10=10=10=10=10=10=10=10=10=10=10=10=10=10=10=10=10=10=10=10=10=10=10=10=10=10=10=10=10=10=10=10=10=10=10=10=10=10=10=10=10=10=10=10=10=10=10=10=10=10=10=10=10=10=10=10=10=10=10=10=10=10=10=10=10=10=10=10=10=10=10=10=10=10=10=10=10=10=10=10=10=10=10=10=10=10=10=10

0
下载
关闭预览

相关内容

【图与几何深度学习】Graph and geometric deep learning,49页ppt
专知会员服务
78+阅读 · 2021年3月16日
如何构建你的推荐系统?这份21页ppt教程为你讲解
专知会员服务
65+阅读 · 2021年2月12日
专知会员服务
51+阅读 · 2020年12月14日
【Manning新书】现代Java实战,592页pdf
专知会员服务
101+阅读 · 2020年5月22日
【哈佛大学商学院课程Fall 2019】机器学习可解释性
专知会员服务
105+阅读 · 2019年10月9日
最新BERT相关论文清单,BERT-related Papers
专知会员服务
53+阅读 · 2019年9月29日
SIGIR2020推荐系统论文聚焦
机器学习与推荐算法
15+阅读 · 2020年6月9日
CCF推荐 | 国际会议信息8条
Call4Papers
9+阅读 · 2019年5月23日
人工智能 | ISAIR 2019诚邀稿件(推荐SCI期刊)
Call4Papers
6+阅读 · 2019年4月1日
【SIGIR2018】五篇对抗训练文章
专知
12+阅读 · 2018年7月9日
LibRec 精选:推荐的可解释性[综述]
LibRec智能推荐
10+阅读 · 2018年5月4日
人工智能 | 国际会议/SCI期刊约稿信息9条
Call4Papers
3+阅读 · 2018年1月12日
【计算机类】期刊专刊/国际会议截稿信息6条
Call4Papers
3+阅读 · 2017年10月13日
【推荐】SVM实例教程
机器学习研究会
17+阅读 · 2017年8月26日
LibRec 每周算法:Collaborative Metric Learning (WWW'17)
LibRec智能推荐
6+阅读 · 2017年7月4日
Arxiv
0+阅读 · 2021年6月8日
Arxiv
0+阅读 · 2021年6月4日
VIP会员
相关VIP内容
【图与几何深度学习】Graph and geometric deep learning,49页ppt
专知会员服务
78+阅读 · 2021年3月16日
如何构建你的推荐系统?这份21页ppt教程为你讲解
专知会员服务
65+阅读 · 2021年2月12日
专知会员服务
51+阅读 · 2020年12月14日
【Manning新书】现代Java实战,592页pdf
专知会员服务
101+阅读 · 2020年5月22日
【哈佛大学商学院课程Fall 2019】机器学习可解释性
专知会员服务
105+阅读 · 2019年10月9日
最新BERT相关论文清单,BERT-related Papers
专知会员服务
53+阅读 · 2019年9月29日
相关资讯
SIGIR2020推荐系统论文聚焦
机器学习与推荐算法
15+阅读 · 2020年6月9日
CCF推荐 | 国际会议信息8条
Call4Papers
9+阅读 · 2019年5月23日
人工智能 | ISAIR 2019诚邀稿件(推荐SCI期刊)
Call4Papers
6+阅读 · 2019年4月1日
【SIGIR2018】五篇对抗训练文章
专知
12+阅读 · 2018年7月9日
LibRec 精选:推荐的可解释性[综述]
LibRec智能推荐
10+阅读 · 2018年5月4日
人工智能 | 国际会议/SCI期刊约稿信息9条
Call4Papers
3+阅读 · 2018年1月12日
【计算机类】期刊专刊/国际会议截稿信息6条
Call4Papers
3+阅读 · 2017年10月13日
【推荐】SVM实例教程
机器学习研究会
17+阅读 · 2017年8月26日
LibRec 每周算法:Collaborative Metric Learning (WWW'17)
LibRec智能推荐
6+阅读 · 2017年7月4日
Top
微信扫码咨询专知VIP会员