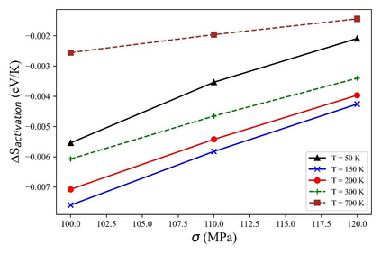
Dislocations are the primary carriers of plasticity in metallic material. Understanding the basic mechanisms for dislocation movement is paramount to predicting the material mechanical response. Relying on atomistic simulations, we observe a transition from non-Arrhenius to Arrhenius behavior in the rate for an edge dislocation to overcome the elastic interaction with a prismatic loop in tungsten. Beyond the critical resolved shear stress, the process shows a non-Arrhenius behavior at low temperatures. However, as the temperature increases, the activation entropy starts to dominate, leading to a traditional Arrhenius behavior. We have computed the activation entropy analytically along the minimum energy path following Schoeck's methods [1], which capture the cross-over between anti-Arrhenius and Arrhenius domains. Also, the Projected Average Force Integrator (PAFI) [2], another simulation method to compute free energies along an initial transition path, exhibits considerable concurrence with Schoeck's formalism. We conclude that entropic effects need to be considered to understand processes involving dislocations bypassing elastic barriers close to the critical resolved shear stress. More work needs to be performed to fully understand the discrepancies between Schoeck's and PAFI results compared to molecular dynamics.


翻译:暂无翻译

0
下载
关闭预览

相关内容

FlowQA: Grasping Flow in History for Conversational Machine Comprehension
专知会员服务
34+阅读 · 2019年10月18日
《DeepGCNs: Making GCNs Go as Deep as CNNs》
专知会员服务
31+阅读 · 2019年10月17日
Transferring Knowledge across Learning Processes
CreateAMind
29+阅读 · 2019年5月18日
Unsupervised Learning via Meta-Learning
CreateAMind
43+阅读 · 2019年1月3日
STRCF for Visual Object Tracking
统计学习与视觉计算组
15+阅读 · 2018年5月29日
Focal Loss for Dense Object Detection
统计学习与视觉计算组
12+阅读 · 2018年3月15日
IJCAI | Cascade Dynamics Modeling with Attention-based RNN
KingsGarden
13+阅读 · 2017年7月16日
国家自然科学基金
2+阅读 · 2017年12月31日
国家自然科学基金
2+阅读 · 2015年12月31日
国家自然科学基金
2+阅读 · 2015年12月31日
国家自然科学基金
0+阅读 · 2014年12月31日
国家自然科学基金
0+阅读 · 2014年12月31日
VIP会员
相关资讯
Transferring Knowledge across Learning Processes
CreateAMind
29+阅读 · 2019年5月18日
Unsupervised Learning via Meta-Learning
CreateAMind
43+阅读 · 2019年1月3日
STRCF for Visual Object Tracking
统计学习与视觉计算组
15+阅读 · 2018年5月29日
Focal Loss for Dense Object Detection
统计学习与视觉计算组
12+阅读 · 2018年3月15日
IJCAI | Cascade Dynamics Modeling with Attention-based RNN
KingsGarden
13+阅读 · 2017年7月16日
相关基金
国家自然科学基金
2+阅读 · 2017年12月31日
国家自然科学基金
2+阅读 · 2015年12月31日
国家自然科学基金
2+阅读 · 2015年12月31日
国家自然科学基金
0+阅读 · 2014年12月31日
国家自然科学基金
0+阅读 · 2014年12月31日
Top
微信扫码咨询专知VIP会员