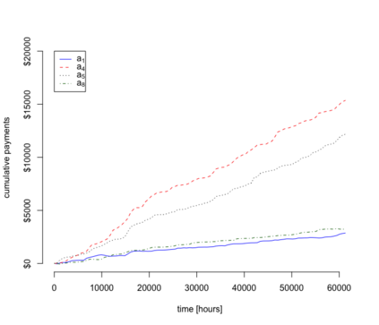
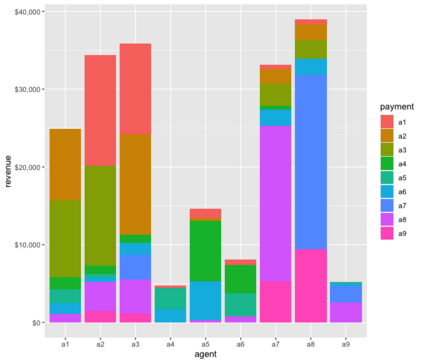
Energy forecasting has attracted enormous attention over the last few decades, with novel proposals related to the use of heterogeneous data sources, probabilistic forecasting, online learn-ing, etc. A key aspect that emerged is that learning and forecasting may highly benefit from distributed data, though not only in the geographical sense. That is, various agents collect and own data that may be useful to others. In contrast to recent proposals that look into distributed and privacy-preserving learning (incentive-free), we explore here a framework called regression markets. There, agents aiming to improve their forecasts post a regression task, for which other agents may contribute by sharing their data for their features and get monetarily rewarded for it.The market design is for regression models that are linear in their parameters, and possibly sep-arable, with estimation performed based on either batch or online learning. Both in-sample and out-of-sample aspects are considered, with markets for fitting models in-sample, and then for improving genuine forecasts out-of-sample. Such regression markets rely on recent concepts within interpretability of machine learning approaches and cooperative game theory, with Shapley additive explanations. Besides introducing the market design and proving its desirable properties, application results are shown based on simulation studies (to highlight the salient features of the proposal) and with real-world case studies.


翻译:在过去几十年里,能源预测吸引了巨大的关注,提出了与使用各种数据来源、概率预测、在线学习等有关的新建议。 出现的一个关键方面是,学习和预测可能从分布的数据中大大获益,尽管不仅在地理意义上如此。即,各种代理收集和拥有可能对他人有用的数据。与最近提出的研究分布式和隐私保护学习(无奖励)的建议相反,我们在这里探讨一个称为回归市场的框架。在这种框架中,旨在改进预测的代理商可能会通过分享其特征数据并获得货币奖赏来帮助改进它们的预测。其他代理商可能为此作出贡献。市场的设计是用于其参数线性、可能可扩展的回归模型,根据批量或在线学习进行估算。我们考虑了各种抽样和外表性两方面,同时建立了适合模型的市场市场市场,然后改进了真实的模拟预测。这种回归市场依赖于机器学习方法及合作游戏理论的最新概念,并获得了货币化理论,而市场模型则展示了其真实的精确性解释性解释性解释性解释性,此外,还展示了市场性能解释性解释性解释性研究。

0
下载
关闭预览

相关内容

专知会员服务
54+阅读 · 2021年6月30日
FlowQA: Grasping Flow in History for Conversational Machine Comprehension
专知会员服务
34+阅读 · 2019年10月18日
强化学习最新教程,17页pdf
专知会员服务
182+阅读 · 2019年10月11日
机器学习入门的经验与建议
专知会员服务
94+阅读 · 2019年10月10日
【哈佛大学商学院课程Fall 2019】机器学习可解释性
专知会员服务
105+阅读 · 2019年10月9日
【SIGGRAPH2019】TensorFlow 2.0深度学习计算机图形学应用
专知会员服务
41+阅读 · 2019年10月9日
强化学习的Unsupervised Meta-Learning
CreateAMind
18+阅读 · 2019年1月7日
Unsupervised Learning via Meta-Learning
CreateAMind
43+阅读 · 2019年1月3日
A Technical Overview of AI & ML in 2018 & Trends for 2019
待字闺中
18+阅读 · 2018年12月24日
Disentangled的假设的探讨
CreateAMind
9+阅读 · 2018年12月10日
已删除
将门创投
4+阅读 · 2018年6月4日
Hierarchical Disentangled Representations
CreateAMind
4+阅读 · 2018年4月15日
分布式TensorFlow入门指南
机器学习研究会
4+阅读 · 2017年11月28日
【论文】变分推断(Variational inference)的总结
机器学习研究会
39+阅读 · 2017年11月16日
【推荐】RNN/LSTM时序预测
机器学习研究会
25+阅读 · 2017年9月8日
Auto-Encoding GAN
CreateAMind
7+阅读 · 2017年8月4日
Deep Learning for Energy Markets
Arxiv
10+阅读 · 2019年4月10日
VIP会员
相关资讯
强化学习的Unsupervised Meta-Learning
CreateAMind
18+阅读 · 2019年1月7日
Unsupervised Learning via Meta-Learning
CreateAMind
43+阅读 · 2019年1月3日
A Technical Overview of AI & ML in 2018 & Trends for 2019
待字闺中
18+阅读 · 2018年12月24日
Disentangled的假设的探讨
CreateAMind
9+阅读 · 2018年12月10日
已删除
将门创投
4+阅读 · 2018年6月4日
Hierarchical Disentangled Representations
CreateAMind
4+阅读 · 2018年4月15日
分布式TensorFlow入门指南
机器学习研究会
4+阅读 · 2017年11月28日
【论文】变分推断(Variational inference)的总结
机器学习研究会
39+阅读 · 2017年11月16日
【推荐】RNN/LSTM时序预测
机器学习研究会
25+阅读 · 2017年9月8日
Auto-Encoding GAN
CreateAMind
7+阅读 · 2017年8月4日
Top
微信扫码咨询专知VIP会员