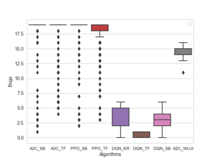
Software testing activities aim to find the possible defects of a software product and ensure that the product meets its expected requirements. Some software testing approached are lacking automation or are partly automated which increases the testing time and overall software testing costs. Recently, Reinforcement Learning (RL) has been successfully employed in complex testing tasks such as game testing, regression testing, and test case prioritization to automate the process and provide continuous adaptation. Practitioners can employ RL by implementing from scratch an RL algorithm or use an RL framework. Developers have widely used these frameworks to solve problems in various domains including software testing. However, to the best of our knowledge, there is no study that empirically evaluates the effectiveness and performance of pre-implemented algorithms in RL frameworks. In this paper, we empirically investigate the applications of carefully selected RL algorithms on two important software testing tasks: test case prioritization in the context of Continuous Integration (CI) and game testing. For the game testing task, we conduct experiments on a simple game and use RL algorithms to explore the game to detect bugs. Results show that some of the selected RL frameworks such as Tensorforce outperform recent approaches in the literature. To prioritize test cases, we run experiments on a CI environment where RL algorithms from different frameworks are used to rank the test cases. Our results show that the performance difference between pre-implemented algorithms in some cases is considerable, motivating further investigation. Moreover, empirical evaluations on some benchmark problems are recommended for researchers looking to select RL frameworks, to make sure that RL algorithms perform as intended.


翻译:软件测试活动旨在找出软件产品可能存在的缺陷,并确保产品符合预期要求。一些软件测试缺乏自动化,或者部分自动化,增加了测试时间和软件测试总成本。最近,在游戏测试、回归测试和测试案件优先排序等复杂测试任务中成功运用了强化学习(RL),使程序自动化并不断调整。从业者可以通过从零开始实施RL算法或使用RL框架来使用RL。开发者广泛使用这些框架来解决包括软件测试在内的不同领域的问题。然而,据我们所知,没有一项实验性研究能够评估RL框架中预先实施的算法的有效性和性能。在本文中,我们通过实验性地调查,在连续整合(CI)和游戏测试中测试案件优先进行案件优先排序。关于游戏测试任务,我们用RL算法来进一步探索各种领域的问题,包括软件测试错误。但结果显示,一些选定的RL框架,如Tersorforce在RL框架中评估效力和性评估,在最新性评估中,我们测试案例中,我们用VL逻辑测试了一定的排序。

0
下载
关闭预览

相关内容

Automator是苹果公司为他们的Mac OS X系统开发的一款软件。 只要通过点击拖拽鼠标等操作就可以将一系列动作组合成一个工作流,从而帮助你自动的(可重复的)完成一些复杂的工作。Automator还能横跨很多不同种类的程序,包括:查找器、Safari网络浏览器、iCal、地址簿或者其他的一些程序。它还能和一些第三方的程序一起工作,如微软的Office、Adobe公司的Photoshop或者Pixelmator等。
专知会员服务
41+阅读 · 2020年9月6日
100+篇《自监督学习(Self-Supervised Learning)》论文最新合集
专知会员服务
167+阅读 · 2020年3月18日
Stabilizing Transformers for Reinforcement Learning
专知会员服务
60+阅读 · 2019年10月17日
Keras François Chollet 《Deep Learning with Python 》, 386页pdf
专知会员服务
160+阅读 · 2019年10月12日
强化学习最新教程,17页pdf
专知会员服务
182+阅读 · 2019年10月11日
【哈佛大学商学院课程Fall 2019】机器学习可解释性
专知会员服务
105+阅读 · 2019年10月9日
【SIGGRAPH2019】TensorFlow 2.0深度学习计算机图形学应用
专知会员服务
41+阅读 · 2019年10月9日
VCIP 2022 Call for Special Session Proposals
CCF多媒体专委会
1+阅读 · 2022年4月1日
ACM MM 2022 Call for Papers
CCF多媒体专委会
5+阅读 · 2022年3月29日
AIART 2022 Call for Papers
CCF多媒体专委会
1+阅读 · 2022年2月13日
Hierarchically Structured Meta-learning
CreateAMind
27+阅读 · 2019年5月22日
Transferring Knowledge across Learning Processes
CreateAMind
29+阅读 · 2019年5月18日
Unsupervised Learning via Meta-Learning
CreateAMind
43+阅读 · 2019年1月3日
A Technical Overview of AI & ML in 2018 & Trends for 2019
待字闺中
18+阅读 · 2018年12月24日
Hierarchical Imitation - Reinforcement Learning
CreateAMind
19+阅读 · 2018年5月25日
Reinforcement Learning: An Introduction 2018第二版 500页
CreateAMind
14+阅读 · 2018年4月27日
【论文】变分推断(Variational inference)的总结
机器学习研究会
39+阅读 · 2017年11月16日
国家自然科学基金
0+阅读 · 2014年12月31日
国家自然科学基金
1+阅读 · 2013年12月31日
国家自然科学基金
0+阅读 · 2012年12月31日
国家自然科学基金
0+阅读 · 2011年12月31日
国家自然科学基金
0+阅读 · 2011年12月31日
国家自然科学基金
0+阅读 · 2009年12月31日
国家自然科学基金
0+阅读 · 2009年12月31日
Arxiv
0+阅读 · 2022年10月5日
A Comprehensive Survey on Transfer Learning
Arxiv
121+阅读 · 2019年11月7日
VIP会员
相关VIP内容
专知会员服务
41+阅读 · 2020年9月6日
100+篇《自监督学习(Self-Supervised Learning)》论文最新合集
专知会员服务
167+阅读 · 2020年3月18日
Stabilizing Transformers for Reinforcement Learning
专知会员服务
60+阅读 · 2019年10月17日
Keras François Chollet 《Deep Learning with Python 》, 386页pdf
专知会员服务
160+阅读 · 2019年10月12日
强化学习最新教程,17页pdf
专知会员服务
182+阅读 · 2019年10月11日
【哈佛大学商学院课程Fall 2019】机器学习可解释性
专知会员服务
105+阅读 · 2019年10月9日
【SIGGRAPH2019】TensorFlow 2.0深度学习计算机图形学应用
专知会员服务
41+阅读 · 2019年10月9日
相关资讯
VCIP 2022 Call for Special Session Proposals
CCF多媒体专委会
1+阅读 · 2022年4月1日
ACM MM 2022 Call for Papers
CCF多媒体专委会
5+阅读 · 2022年3月29日
AIART 2022 Call for Papers
CCF多媒体专委会
1+阅读 · 2022年2月13日
Hierarchically Structured Meta-learning
CreateAMind
27+阅读 · 2019年5月22日
Transferring Knowledge across Learning Processes
CreateAMind
29+阅读 · 2019年5月18日
Unsupervised Learning via Meta-Learning
CreateAMind
43+阅读 · 2019年1月3日
A Technical Overview of AI & ML in 2018 & Trends for 2019
待字闺中
18+阅读 · 2018年12月24日
Hierarchical Imitation - Reinforcement Learning
CreateAMind
19+阅读 · 2018年5月25日
Reinforcement Learning: An Introduction 2018第二版 500页
CreateAMind
14+阅读 · 2018年4月27日
【论文】变分推断(Variational inference)的总结
机器学习研究会
39+阅读 · 2017年11月16日
相关基金
国家自然科学基金
0+阅读 · 2014年12月31日
国家自然科学基金
1+阅读 · 2013年12月31日
国家自然科学基金
0+阅读 · 2012年12月31日
国家自然科学基金
0+阅读 · 2011年12月31日
国家自然科学基金
0+阅读 · 2011年12月31日
国家自然科学基金
0+阅读 · 2009年12月31日
国家自然科学基金
0+阅读 · 2009年12月31日
Top
微信扫码咨询专知VIP会员