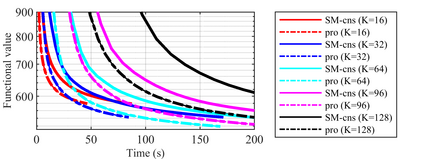
Convolutional sparse coding improves on the standard sparse approximation by incorporating a global shift-invariant model. The most efficient convolutional sparse coding methods are based on the alternating direction method of multipliers and the convolution theorem. The only major difference between these methods is how they approach a convolutional least-squares fitting subproblem. This letter presents a solution to this subproblem, which improves the efficiency of the state-of-the-art algorithms. We also use the same approach for developing an efficient convolutional dictionary learning method. Furthermore, we propose a novel algorithm for convolutional sparse coding with a constraint on the approximation error.


翻译:革命稀有的编码在标准稀少近似值上有所改进,采用了全球变换变异模式。 最高效的革命稀少的编码方法基于乘数和变动定理的交替方向法。 这些方法之间唯一的主要区别是它们如何接近一个与次问题相适应的革命最小方。 这封信为这一次问题提供了一个解决方案, 提高了最先进的算法的效率。 我们还采用了同样的方法来开发一个高效的共变字典学习方法。 此外, 我们提出了一种以近似错误为制约的革命稀有编码的新算法。

0
下载
关闭预览

相关内容

这种方法被称为Sparse Coding。通俗的说,就是将一个信号表示为一组基的线性组合,而且要求只需要较少的几个基就可以将信号表示出来
专知会员服务
23+阅读 · 2021年9月20日
【IJCAJ 2020】多通道神经网络 Multi-Channel Graph Neural Networks
专知会员服务
26+阅读 · 2020年7月19日
商业数据分析,39页ppt
专知会员服务
165+阅读 · 2020年6月2日
【清华大学】图随机神经网络,Graph Random Neural Networks
专知会员服务
156+阅读 · 2020年5月26日
【ICLR2020-】基于记忆的图网络,MEMORY-BASED GRAPH NETWORKS
专知会员服务
110+阅读 · 2020年2月22日
Hierarchically Structured Meta-learning
CreateAMind
27+阅读 · 2019年5月22日
【泡泡一分钟】基于运动估计的激光雷达和相机标定方法
泡泡机器人SLAM
25+阅读 · 2019年1月17日
meta learning 17年:MAML SNAIL
CreateAMind
11+阅读 · 2019年1月2日
【泡泡一分钟】用于平面环境的线性RGBD-SLAM
泡泡机器人SLAM
6+阅读 · 2018年12月18日
【泡泡一分钟】一种实用且高效的多视图匹配方法
泡泡机器人SLAM
6+阅读 · 2018年11月19日
【推荐】YOLO实时目标检测(6fps)
机器学习研究会
20+阅读 · 2017年11月5日
Highway Networks For Sentence Classification
哈工大SCIR
4+阅读 · 2017年9月30日
Arxiv
0+阅读 · 2021年10月27日
已删除
Arxiv
32+阅读 · 2020年3月23日
Arxiv
31+阅读 · 2018年11月13日
Arxiv
3+阅读 · 2018年2月11日
Arxiv
3+阅读 · 2017年12月1日
VIP会员
相关资讯
Hierarchically Structured Meta-learning
CreateAMind
27+阅读 · 2019年5月22日
【泡泡一分钟】基于运动估计的激光雷达和相机标定方法
泡泡机器人SLAM
25+阅读 · 2019年1月17日
meta learning 17年:MAML SNAIL
CreateAMind
11+阅读 · 2019年1月2日
【泡泡一分钟】用于平面环境的线性RGBD-SLAM
泡泡机器人SLAM
6+阅读 · 2018年12月18日
【泡泡一分钟】一种实用且高效的多视图匹配方法
泡泡机器人SLAM
6+阅读 · 2018年11月19日
【推荐】YOLO实时目标检测(6fps)
机器学习研究会
20+阅读 · 2017年11月5日
Highway Networks For Sentence Classification
哈工大SCIR
4+阅读 · 2017年9月30日
Top
微信扫码咨询专知VIP会员