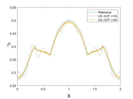
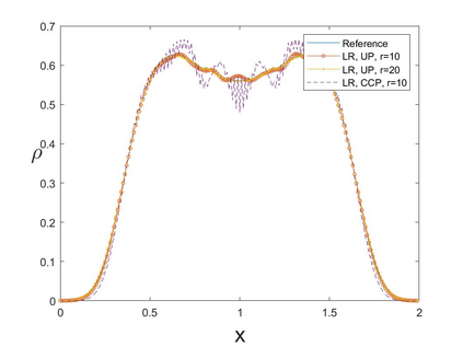
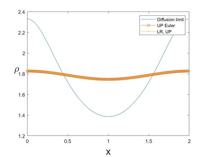
Dynamical low-rank algorithms are a class of numerical methods that compute low-rank approximations of dynamical systems. This is accomplished by projecting the dynamics onto a low-dimensional manifold and writing the solution directly in terms of the low-rank factors. The approach has been successfully applied to many types of differential equations. Recently, efficient dynamical low-rank algorithms have been applied to treat kinetic equations, including the Vlasov--Poisson and the Boltzmann equation, where it was demonstrated that the methods are able to capture the low-rank structure of the solution and significantly reduce numerical cost, while often maintaining high accuracy. However, no numerical analysis is currently available. In this paper, we investigate the error analysis for a dynamical low-rank algorithm applied to the multi-scale linear Boltzmann equation (a classical model in kinetic theory) to showcase the validity of the application of dynamical low-rank algorithms to kinetic theory. The equation, in its parabolic regime, is known to be rank one theoretically, and we will prove that the scheme can dynamically and automatically capture this low-rank structure. This work thus serves as the first mathematical error analysis for a dynamical low-rank approximation applied to a kinetic problem.


翻译:动态低位算法是计算动态系统低位近似值的一组数字方法。 这是通过将动态投射到低位元中,并以低位因素直接写出解决方案来实现的。 这种方法已经成功地应用于许多类型的差异方程。 最近, 高效动态低位算法应用到处理动动方程, 包括Vlasov-Poisson 和 Boltzmann 等式, 这表明这些方法能够捕捉解决方案的低位结构, 并大幅降低数字成本, 同时往往保持高准确性。 但是, 目前没有数字分析。 在本文中, 我们调查了用于多级线性线性波尔茨曼等式( 动力理论的经典模型) 的动态低位算法的错误分析, 以展示动态低位算法应用到动能理论的正确性。 方程式在理论上是已知的, 而我们将会证明, 计划可以动态和自动捕捉到这个低位结构。 因此, 这项工作可以作为第一个数字性动态的里程问题。

0
下载
关闭预览

相关内容

【经典书】算法博弈论,775页pdf,Algorithmic Game Theory
专知会员服务
155+阅读 · 2021年5月9日
专知会员服务
78+阅读 · 2021年3月16日
专知会员服务
51+阅读 · 2020年12月14日
【干货书】机器学习速查手册,135页pdf
专知会员服务
127+阅读 · 2020年11月20日
【新书】Python数据科学食谱(Python Data Science Cookbook)
专知会员服务
117+阅读 · 2020年1月1日
Keras François Chollet 《Deep Learning with Python 》, 386页pdf
专知会员服务
161+阅读 · 2019年10月12日
强化学习最新教程,17页pdf
专知会员服务
182+阅读 · 2019年10月11日
【新书】Python编程基础,669页pdf
专知会员服务
197+阅读 · 2019年10月10日
已删除
将门创投
4+阅读 · 2019年9月10日
Hierarchically Structured Meta-learning
CreateAMind
27+阅读 · 2019年5月22日
Transferring Knowledge across Learning Processes
CreateAMind
29+阅读 · 2019年5月18日
【TED】生命中的每一年的智慧
英语演讲视频每日一推
10+阅读 · 2019年1月29日
【TED】什么让我们生病
英语演讲视频每日一推
7+阅读 · 2019年1月23日
人工智能 | COLT 2019等国际会议信息9条
Call4Papers
6+阅读 · 2018年9月21日
蒙特卡罗方法(Monte Carlo Methods)
数据挖掘入门与实战
6+阅读 · 2018年4月22日
可解释的CNN
CreateAMind
17+阅读 · 2017年10月5日
【论文】图上的表示学习综述
机器学习研究会
15+阅读 · 2017年9月24日
【推荐】RNN/LSTM时序预测
机器学习研究会
25+阅读 · 2017年9月8日
Arxiv
0+阅读 · 2021年6月4日
Arxiv
0+阅读 · 2021年6月4日
Arxiv
0+阅读 · 2021年6月4日
Arxiv
0+阅读 · 2021年6月3日
VIP会员
相关VIP内容
【经典书】算法博弈论,775页pdf,Algorithmic Game Theory
专知会员服务
155+阅读 · 2021年5月9日
专知会员服务
78+阅读 · 2021年3月16日
专知会员服务
51+阅读 · 2020年12月14日
【干货书】机器学习速查手册,135页pdf
专知会员服务
127+阅读 · 2020年11月20日
【新书】Python数据科学食谱(Python Data Science Cookbook)
专知会员服务
117+阅读 · 2020年1月1日
Keras François Chollet 《Deep Learning with Python 》, 386页pdf
专知会员服务
161+阅读 · 2019年10月12日
强化学习最新教程,17页pdf
专知会员服务
182+阅读 · 2019年10月11日
【新书】Python编程基础,669页pdf
专知会员服务
197+阅读 · 2019年10月10日
相关资讯
已删除
将门创投
4+阅读 · 2019年9月10日
Hierarchically Structured Meta-learning
CreateAMind
27+阅读 · 2019年5月22日
Transferring Knowledge across Learning Processes
CreateAMind
29+阅读 · 2019年5月18日
【TED】生命中的每一年的智慧
英语演讲视频每日一推
10+阅读 · 2019年1月29日
【TED】什么让我们生病
英语演讲视频每日一推
7+阅读 · 2019年1月23日
人工智能 | COLT 2019等国际会议信息9条
Call4Papers
6+阅读 · 2018年9月21日
蒙特卡罗方法(Monte Carlo Methods)
数据挖掘入门与实战
6+阅读 · 2018年4月22日
可解释的CNN
CreateAMind
17+阅读 · 2017年10月5日
【论文】图上的表示学习综述
机器学习研究会
15+阅读 · 2017年9月24日
【推荐】RNN/LSTM时序预测
机器学习研究会
25+阅读 · 2017年9月8日
Top
微信扫码咨询专知VIP会员