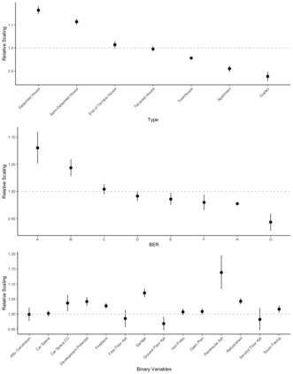
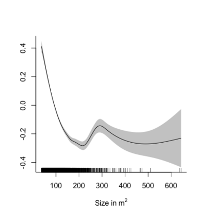
Accurate and efficient valuation of property is of utmost importance in a variety of settings, such as when securing mortgage finance to purchase a property, or where residential property taxes are set as a percentage of a property's resale value. Internationally, resale based property taxes are most common due to ease of implementation and the difficulty of establishing site values. In an Irish context, property valuations are currently based on comparison to recently sold neighbouring properties, however, this approach is limited by low property turnover. National property taxes based on property value, as opposed to site value, also act as a disincentive to improvement works due to the ensuing increased tax burden. In this article we develop a spatial hedonic regression model to separate the spatial and non-spatial contributions of property features to resale value. We mitigate the issue of low property turnover through geographic correlation, borrowing information across multiple property types and finishes. We investigate the impact of address mislabelling on predictive performance, where vendors erroneously supply a more affluent postcode, and evaluate the contribution of improvement works to increased values. Our flexible geo-spatial model outperforms all competitors across a number of different evaluation metrics, including the accuracy of both price prediction and associated uncertainty intervals. While our models are applied in an Irish context, the ability to accurately value properties in markets with low property turnover and to quantify the value contributions of specific property features has widespread application. The ability to separate spatial and non-spatial contributions to a property's value also provides an avenue to site-value based property taxes.


翻译:在各种环境下,如在为购买财产获得抵押贷款融资时,或在将住宅财产税定为财产转售价值的百分比时,对财产进行准确有效的估值至关重要。在国际上,基于转售的财产税最为常见,因为执行容易,而且很难建立场地价值。在爱尔兰,财产估值目前以最近出售的邻近财产的比较为基础,但这一方法受到低地产周转率的限制。基于地产价值而非场地价值的国家财产税,也阻碍了改进工作。由于随之而来的税收负担增加,因此也阻碍了改进工作。在本篇文章中,我们开发了空间性地产税回归模型,将地产特征的空间和非空间性贡献与转售价值的比例分开。我们通过地理相关性、多种财产类型和终点的借贷,减轻了低地产周转率问题。我们调查了对预测性业绩的错误标签影响,供应商错误地提供更富裕的后期代码,并评估改进工作对提高价值的贡献。我们灵活的地理空间模型超越了所有竞争者,在不同的评估性模型中应用了非地产价值,同时对地产价值做出了准确的预测,对地产价值进行了量化。

0
下载
关闭预览

相关内容

专知会员服务
42+阅读 · 2021年4月2日
【干货书】机器学习速查手册,135页pdf
专知会员服务
127+阅读 · 2020年11月20日
强化学习最新教程,17页pdf
专知会员服务
182+阅读 · 2019年10月11日
【SIGGRAPH2019】TensorFlow 2.0深度学习计算机图形学应用
专知会员服务
41+阅读 · 2019年10月9日
计算机 | 入门级EI会议ICVRIS 2019诚邀稿件
Call4Papers
10+阅读 · 2019年6月24日
Transferring Knowledge across Learning Processes
CreateAMind
29+阅读 · 2019年5月18日
CCF C类 | DSAA 2019 诚邀稿件
Call4Papers
6+阅读 · 2019年5月13日
A Technical Overview of AI & ML in 2018 & Trends for 2019
待字闺中
18+阅读 · 2018年12月24日
Disentangled的假设的探讨
CreateAMind
9+阅读 · 2018年12月10日
【推荐】决策树/随机森林深入解析
机器学习研究会
5+阅读 · 2017年9月21日
【推荐】SVM实例教程
机器学习研究会
17+阅读 · 2017年8月26日
【推荐】Python机器学习生态圈(Scikit-Learn相关项目)
机器学习研究会
6+阅读 · 2017年8月23日
【学习】Hierarchical Softmax
机器学习研究会
4+阅读 · 2017年8月6日
Auto-Encoding GAN
CreateAMind
7+阅读 · 2017年8月4日
Arxiv
0+阅读 · 2021年10月13日
Implicit Maximum Likelihood Estimation
Arxiv
7+阅读 · 2018年9月24日
VIP会员
相关VIP内容
相关资讯
计算机 | 入门级EI会议ICVRIS 2019诚邀稿件
Call4Papers
10+阅读 · 2019年6月24日
Transferring Knowledge across Learning Processes
CreateAMind
29+阅读 · 2019年5月18日
CCF C类 | DSAA 2019 诚邀稿件
Call4Papers
6+阅读 · 2019年5月13日
A Technical Overview of AI & ML in 2018 & Trends for 2019
待字闺中
18+阅读 · 2018年12月24日
Disentangled的假设的探讨
CreateAMind
9+阅读 · 2018年12月10日
【推荐】决策树/随机森林深入解析
机器学习研究会
5+阅读 · 2017年9月21日
【推荐】SVM实例教程
机器学习研究会
17+阅读 · 2017年8月26日
【推荐】Python机器学习生态圈(Scikit-Learn相关项目)
机器学习研究会
6+阅读 · 2017年8月23日
【学习】Hierarchical Softmax
机器学习研究会
4+阅读 · 2017年8月6日
Auto-Encoding GAN
CreateAMind
7+阅读 · 2017年8月4日
Top
微信扫码咨询专知VIP会员