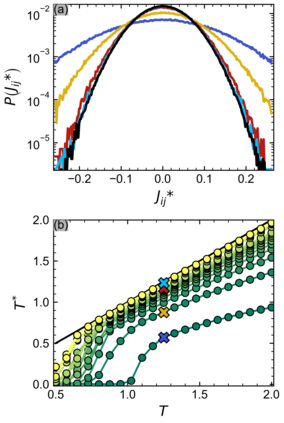
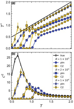
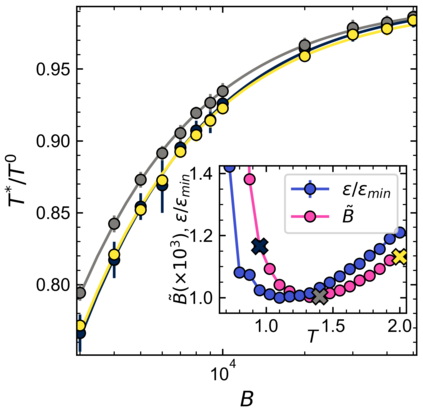
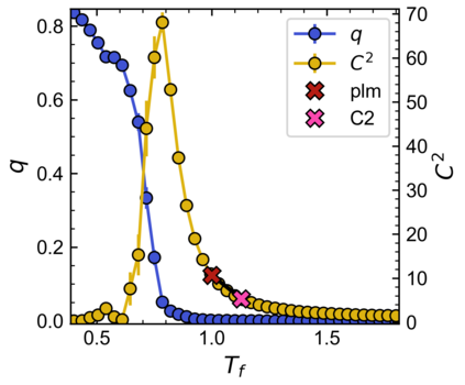
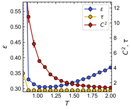
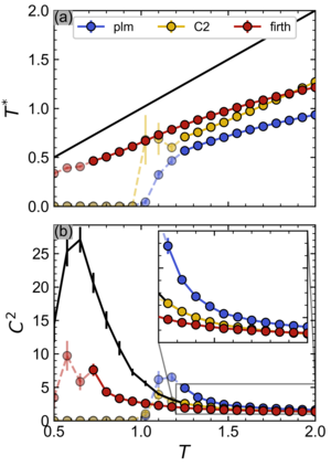
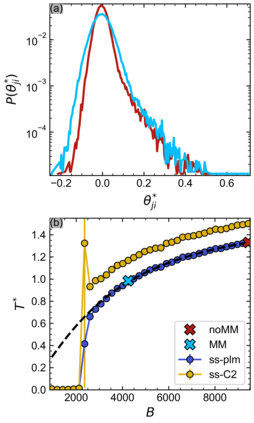
Inverse Ising inference allows pairwise interactions of complex binary systems to be reconstructed from empirical correlations. Typical estimators used for this inference, such as Pseudo-likelihood maximization (PLM), are biased. Using the Sherrington-Kirkpatrick (SK) model as a benchmark, we show that these biases are large in critical regimes close to phase boundaries, and may alter the qualitative interpretation of the inferred model. In particular, we show that the small-sample bias causes models inferred through PLM to appear closer-to-criticality than one would expect from the data. Data-driven methods to correct this bias are explored and applied to a functional magnetic resonance imaging (fMRI) dataset from neuroscience. Our results indicate that additional care should be taken when attributing criticality to real-world datasets.


翻译:反之,推论允许复杂的二进制系统的双向相互作用从经验相关性中重建。 用于这一推论的典型估测者, 如Pseudo- 相似的最大化(PLM), 是有偏向的。 我们用Sherrington- Kirkpatrick (SK) 模型作为基准, 表明这些偏差在接近阶段边界的关键系统中是很大的, 并可能改变对推断模型的定性解释。 特别是, 我们显示, 微小的抽样偏差导致通过PLM 推断的模型看起来比数据预期的更接近临界。 数据驱动的纠正偏差的方法被探索并应用于神经科学的功能磁共振成像(fMRI) 数据集。 我们的结果表明, 当将临界点归结为真实世界数据集时, 需要多加小心。

0
下载
关闭预览

相关内容

不可错过!《机器学习100讲》课程,UBC Mark Schmidt讲授
专知会员服务
76+阅读 · 2022年6月28日
AIART 2022 Call for Papers
CCF多媒体专委会
1+阅读 · 2022年2月13日
Hierarchically Structured Meta-learning
CreateAMind
27+阅读 · 2019年5月22日
Transferring Knowledge across Learning Processes
CreateAMind
29+阅读 · 2019年5月18日
disentangled-representation-papers
CreateAMind
26+阅读 · 2018年9月12日
国家自然科学基金
0+阅读 · 2015年12月31日
国家自然科学基金
2+阅读 · 2015年12月31日
国家自然科学基金
0+阅读 · 2013年12月31日
国家自然科学基金
0+阅读 · 2012年12月31日
国家自然科学基金
0+阅读 · 2011年12月31日
VIP会员
相关资讯
AIART 2022 Call for Papers
CCF多媒体专委会
1+阅读 · 2022年2月13日
Hierarchically Structured Meta-learning
CreateAMind
27+阅读 · 2019年5月22日
Transferring Knowledge across Learning Processes
CreateAMind
29+阅读 · 2019年5月18日
disentangled-representation-papers
CreateAMind
26+阅读 · 2018年9月12日
相关基金
国家自然科学基金
0+阅读 · 2015年12月31日
国家自然科学基金
2+阅读 · 2015年12月31日
国家自然科学基金
0+阅读 · 2013年12月31日
国家自然科学基金
0+阅读 · 2012年12月31日
国家自然科学基金
0+阅读 · 2011年12月31日
Top
微信扫码咨询专知VIP会员